| 查看: 2068 | 回复: 1 | ||
shu_huiqiang铜虫 (小有名气)
|
[求助]
关于流体中的阻尼系数公式
|
|
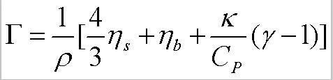
阻尼系数Γ是体黏度系数ηs,剪切黏度系数ηb,以及导热性的函数,请问一下,黏度和导热性对阻尼系数是怎么影响的。比如在什么情况下黏性起主要作用,什么时候导热性起主要作用。最好给出处,哪本书中有详细介绍。式中κ是热导率,Cp是恒压热容,γ=Cp/Cv,Cv是恒容热容。 1541710_1350916589_282.jpg |
» 猜你喜欢
323求调剂
已经有6人回复
一志愿北京化工大学 070300 学硕 336分 求调剂
已经有4人回复
352求调剂
已经有3人回复
一志愿东华大学化学070300,求调剂
已经有8人回复
277材料科学与工程080500求调剂
已经有7人回复
317求调剂
已经有18人回复
293求调剂
已经有5人回复
280分求调剂 一志愿085802
已经有7人回复
0854电子信息求调剂
已经有3人回复
263求调剂
已经有4人回复

2楼2012-12-25 16:51:23













回复此楼