| 查看: 716 | 回复: 3 | |
[求助]
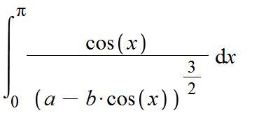
定积分计算
|
|
|
|
|
|
2楼2012-12-24 22:22:13
|
|
|
3楼2012-12-25 16:18:10
|
|
chenxingji金虫 (小有名气)
太阳之子
|
|
![]() |
|
|
4楼2013-01-14 10:03:51
|
|














回复此楼
