| ²é¿´: 1454 | »Ø¸´: 1 | ||
zhuyunqingгæ (СÓÐÃûÆø)
|
[ÇóÖú]
ÓйعÌÌå¿É¼û¹â·´ÉäÂÊÆ×µÄÎÊÌ⣺ÁòËá±µ×÷²Î±ÈµÄÎÊÌâ
|
|
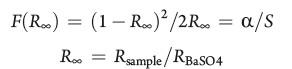
ÎÒµÄÑо¿ÖÐÓõ½ÈçͼµÄKubelka-Munk¹«Ê½£ºÇëÎÊ×÷¹ÌÌåreflectance·´ÉäÂÊÆ×µÄʱºò£¬ÁòËá±µ×÷²Î±È£¬×îºó²âsampleµÄʱºòÒÇÆ÷²âÊÔÈí¼þ×Ô¶¯»á¿Û³ýÁòËá±µ±³µ×£¬ÇëÎÊÊÇÈ繫ʽµÄ×ö³ý·¨»¹ÊÇ×÷¼õ·¨µÄ£¿ ¼±Çó¸÷·¸ßÊÖ´ð°¸ ![]() 1.jpg |
» ²ÂÄãϲ»¶
ºþ±±Ê¦·¶´óѧ¸´ÊÔµ÷¼Á
ÒѾÓÐ0È˻ظ´
Î人·ÄÖ¯´óѧ_»¯¹¤Ñ§Ôº¹Ù·½µ÷¼ÁȺ-ԺʿÍŶÓÕÐÉú-ѧÉú×ÔÓɶȸß-ÿ½ì·¢Õ¹ºÃ
ÒѾÓÐ0È˻ظ´
ÎÞ»ú»¯Ñ§ÂÛÎÄÈóÉ«/·ÒëÔõôÊÕ·Ñ?
ÒѾÓÐ84È˻ظ´
¼ÃÄÏ´óѧ¹ú¼ÒÓÅÇà¿ÎÌâ×é 2026 µ÷¼ÁÕÐÉúÀ´À²
ÒѾÓÐ0È˻ظ´
Î人·ÄÖ¯´óѧ_»¯Ñ§Ôº¹Ù·½µ÷¼ÁȺ-ԺʿÍŶÓÕÐÉú-ѧÉú×ÔÓɶȸ߷¢Õ¹ºÃ-»¶Ó¸÷λͬѧ
ÒѾÓÐ0È˻ظ´
ºÓ±±´óѧ ²ÄÁÏÓ뻯¹¤ ˶ʿÕÐÊÕµ÷¼Á
ÒѾÓÐ0È˻ظ´
Î÷»ª´óѧ »¯Ñ§ µ÷¼ÁÓÐÃû¶î
ÒѾÓÐ0È˻ظ´
ÉϺ£Ó¦Óü¼Êõ´óѧÕÐÉúµ÷¼ÁÑо¿Éú
ÒѾÓÐ5È˻ظ´
» ±¾Ö÷ÌâÏà¹Ø¼ÛÖµÌùÍÆ¼ö£¬¶ÔÄúͬÑùÓаïÖú:

asule13
½ð³æ (ÕýʽдÊÖ)
- Ó¦Öú: 25 (СѧÉú)
- ½ð±Ò: 1064.8
- É¢½ð: 200
- ºì»¨: 3
- Ìû×Ó: 411
- ÔÚÏß: 674.6Сʱ
- ³æºÅ: 817096
- ×¢²á: 2009-07-28
- ÐÔ±ð: GG
- רҵ: ´ß»¯»¯Ñ§
2Â¥2012-12-12 14:33:32















»Ø¸´´ËÂ¥