| 查看: 691 | 回复: 1 | |
[求助]
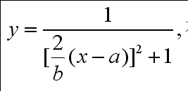
急求,洛伦兹线型的拟合程序,用C或C++编写的。
|
|
|
|
|
|
2楼2012-12-07 15:46:16
|
|














回复此楼