版块导航
正在加载中...
客户端APP下载
论文辅导
申博辅导
登录
注册
帖子
帖子
用户
本版
应《网络安全法》要求,自2017年10月1日起,未进行实名认证将不得使用互联网跟帖服务。为保障您的帐号能够正常使用,请尽快对帐号进行手机号验证,感谢您的理解与支持!
24小时热门版块排行榜
>
论坛更新日志
(631)
>
虫友互识
(53)
>
导师招生
(26)
>
硕博家园
(16)
>
教师之家
(11)
>
论文投稿
(11)
>
基金申请
(10)
>
考研
(10)
>
考博
(9)
>
休闲灌水
(9)
>
论文道贺祈福
(8)
>
公派出国
(7)
>
博后之家
(6)
>
文献求助
(6)
>
找工作
(5)
>
招聘信息布告栏
(2)
小木虫论坛-学术科研互动平台
»
材料区
»
微米和纳米
»
学术讨论
»
紫外可见透射谱转换成吸光度的问题
17
1/1
返回列表
查看: 2096 | 回复: 16
只看楼主
@他人
存档
新回复提醒
(忽略)
收藏
在APP中查看
zodiac13
金虫
(小有名气)
应助: 6
(幼儿园)
金币: 708.6
帖子: 127
在线: 99.6小时
虫号: 1308674
[交流]
紫外可见透射谱转换成吸光度的问题
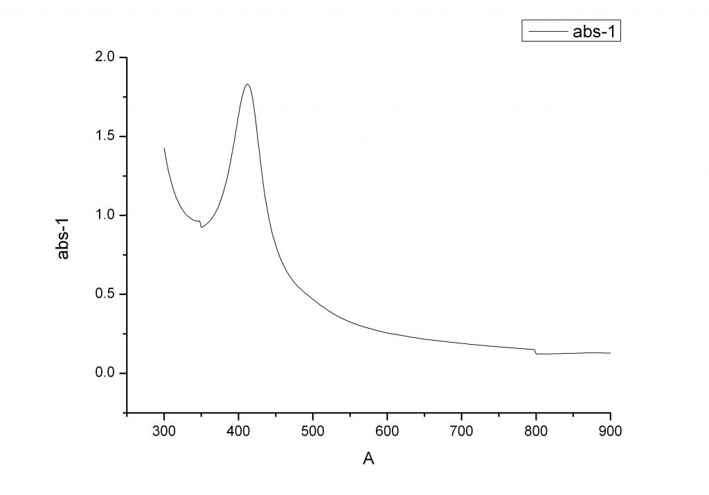
第一个图是测到的紫外可见透射谱。第二个是根据T谱计算的到的吸光度。
利用 A = lg(1/T)公式。不知道这么转换行不行?版上有人知道吗?
还有,从透射谱来看话,在400多纳米有一个透射增强的峰。我做的是铁酸铋薄膜,上面有一点周期性形貌结构。请问如何解释。
Graph1.jpg
Graph2.jpg
回复此楼
» 收录本帖的淘帖专辑推荐
表征与测试分析
» 猜你喜欢
请问对标matlab的开源软件octave的网站https://octave.org为什么打不开?
已经有1人回复
求助两种BiOBr晶体的CIF文件(卡片号为JCPDS 09-0393与JCPDS 01-1004 )
已经有0人回复
无机化学论文润色/翻译怎么收费?
已经有172人回复
哈尔滨工程大学材化学院国家级青年人才-26年硕士招生
已经有0人回复
求助Fe-TCPP、Zn-TCPP的CIF文件,或者CCDC号
已经有0人回复
河北大学-招收26年秋季入化学博士1名
已经有0人回复
XPS/?λXPS
已经有0人回复
河北大学-招收化学博士1名
已经有0人回复
» 本主题相关商家推荐:
(我也要在这里推广)
高级回复
» 本主题相关价值贴推荐,对您同样有帮助:
如何利用K-M方程把漫反射R转化成吸光度A ????积分球里没有带可以直接转化的软件。
已经有5人回复
请问大家知道castep计算的吸光度如何转化成吸收系数?
已经有11人回复
做红外后 怎么把吸光度转换为透过率啊?
已经有18人回复
请教:红外光谱 需要把数据转换成吸光度的问题!!
已经有7人回复
【求助】吸光度absorbance光谱和透光率transmittance光谱怎样转换呢?
已经有4人回复
» 抢金币啦!回帖就可以得到:
查看全部散金贴
香港岭南大学郭瑛课题组博士招生 (2026年秋季入学)
+
1
/183
黄汉民团队联合淮北师范大学招聘师资博士后(年薪30-40万)
+
1
/84
天津科技大学邓启良教授团队 招收2026年博士生
+
1
/80
中国海洋大学与中国水产科学研究院 联合培养 专硕 食品加工与安全
+
1
/75
坐标浙江宁波,诚征女友
+
1
/69
中国科学院深圳先进技术研究院——招聘博士后
+
2
/64
深圳大学信息功能电子材料方向“申请-考核制”博士生招生
+
2
/46
南方科技大学物理系夏秀杨课题组招收博士生/博士后 计算与理论软物质/生物物理方向
+
1
/40
操作求助
+
1
/33
中国科学院深圳先进技术研究院——招聘客座研究生
+
3
/31
上海市“光探测材料与器件”工程技术研究中心(上海应用技术大学)招聘优秀研究人员
+
1
/28
江西理工大学 稀土学院 稀土功能材料方向 招收2026届博士研究生、硕士研究生
+
1
/28
新加坡 南洋理工大学- 智能光子/ 传感 PHD 全奖一名 2026 - 8 月入学
+
1
/15
中科院深圳先进院-免疫治疗方向-招收1名博士生(26年9月入学)
+
1
/10
澳科大招收2026年秋季入学生物材料方向全奖博士研究生(3月5日截止)
+
1
/7
加氢裂化
+
1
/4
海南大学化学院—功能分子器件团队2026博士/研究助理招生+博士后招聘
+
1
/3
澳科大招收2026年秋季入学药剂学/生物材料方向全奖博士研究生
+
1
/3
武汉工程大学董志兵教授课题组招收博士/硕士研究生(长期有效)
+
1
/1
【博士后/科研助理招聘-北京理工大学-集成电路与电子学院-国家杰青团队】
+
1
/1
1楼
2012-12-05 15:14:56
已阅
回复此楼
关注TA
给TA发消息
送TA红花
TA的回帖
鹰羽龙
木虫
(著名写手)
应助: 141
(高中生)
金币: 3479.1
帖子: 1267
在线: 956.4小时
虫号: 369935
★
zodiac13(金币+1): 谢谢参与
只要材料在这个波长范围内弱反射这个公式就适用
赞
一下
回复此楼
3楼
2012-12-05 15:36:56
已阅
回复此楼
关注TA
给TA发消息
送TA红花
TA的回帖
zodiac13
金虫
(小有名气)
应助: 6
(幼儿园)
金币: 708.6
帖子: 127
在线: 99.6小时
虫号: 1308674
引用回帖:
3楼
:
Originally posted by
鹰羽龙
at 2012-12-05 15:36:56
只要材料在这个波长范围内弱反射这个公式就适用
K-M公式是不是能处理这种情况。那个峰是不是带边吸收增强啊?
赞
一下
回复此楼
4楼
2012-12-05 18:37:27
已阅
回复此楼
关注TA
给TA发消息
送TA红花
TA的回帖
wu1008
金虫
(著名写手)
应助: 243
(大学生)
金币: 1486.4
帖子: 1788
在线: 197.6小时
虫号: 1859230
★
zodiac13(金币+1): 谢谢参与
你的参比样是什么?
赞
一下
回复此楼
6楼
2012-12-08 20:57:50
已阅
回复此楼
关注TA
给TA发消息
送TA红花
TA的回帖
fanglu001
禁虫
(小有名气)
★
zodiac13(金币+1): 谢谢参与
本帖内容被屏蔽
7楼
2012-12-08 21:03:24
已阅
回复此楼
关注TA
给TA发消息
送TA红花
TA的回帖
zodiac13
金虫
(小有名气)
应助: 6
(幼儿园)
金币: 708.6
帖子: 127
在线: 99.6小时
虫号: 1308674
引用回帖:
7楼
:
Originally posted by
fanglu001
at 2012-12-08 21:03:24
可以用吧,转化公式就是那样的
那abs的那个峰可不可以解释为激子吸收?
赞
一下
回复此楼
8楼
2012-12-08 21:41:14
已阅
回复此楼
关注TA
给TA发消息
送TA红花
TA的回帖
fanglu001
禁虫
(小有名气)
★
小木虫: 金币+0.5, 给个红包,谢谢回帖
本帖内容被屏蔽
9楼
2012-12-11 22:11:35
已阅
回复此楼
关注TA
给TA发消息
送TA红花
TA的回帖
zodiac13
金虫
(小有名气)
应助: 6
(幼儿园)
金币: 708.6
帖子: 127
在线: 99.6小时
虫号: 1308674
引用回帖:
9楼
:
Originally posted by
fanglu001
at 2012-12-11 22:11:35
刚看了个文献,就是这么整的,我质疑。。。。。...
质疑?!你有什么其他的想法吗?我觉得好像没什么其他的解释了啊。不过如果再有一个PL谱验证,那就更有说服力了。
赞
一下
回复此楼
10楼
2012-12-12 11:43:51
已阅
回复此楼
关注TA
给TA发消息
送TA红花
TA的回帖
fanglu001
禁虫
(小有名气)
★
小木虫: 金币+0.5, 给个红包,谢谢回帖
本帖内容被屏蔽
11楼
2012-12-12 20:35:42
已阅
回复此楼
关注TA
给TA发消息
送TA红花
TA的回帖
seyon
铁杆木虫
(正式写手)
应助: 37
(小学生)
金币: 8861
帖子: 361
在线: 77.3小时
虫号: 931265
★
小木虫: 金币+0.5, 给个红包,谢谢回帖
为什么不直接测量吸收呢?省得转换一下,还可能有适用性的问题。
赞
一下
回复此楼
12楼
2012-12-13 06:26:33
已阅
回复此楼
关注TA
给TA发消息
送TA红花
TA的回帖
zodiac13
金虫
(小有名气)
应助: 6
(幼儿园)
金币: 708.6
帖子: 127
在线: 99.6小时
虫号: 1308674
引用回帖:
11楼
:
Originally posted by
fanglu001
at 2012-12-12 20:35:42
量子产率是怎么算的啊?...
不知道。
回复此楼
13楼
2012-12-13 17:46:00
已阅
回复此楼
关注TA
给TA发消息
送TA红花
TA的回帖
zodiac13
金虫
(小有名气)
应助: 6
(幼儿园)
金币: 708.6
帖子: 127
在线: 99.6小时
虫号: 1308674
引用回帖:
12楼
:
Originally posted by
seyon
at 2012-12-13 06:26:33
为什么不直接测量吸收呢?省得转换一下,还可能有适用性的问题。
正准备直接测一下吸收谱呢。因为是托别人帮忙测试的,我对测试结果信心不是很足。我查阅了许多文献,没看到有这么明显的峰。但是有一部分测试结果又能和文献比较吻合。正在纠结中。你有遇到过这样的情况吗?
赞
一下
回复此楼
14楼
2012-12-13 17:51:10
已阅
回复此楼
关注TA
给TA发消息
送TA红花
TA的回帖
seyon
铁杆木虫
(正式写手)
应助: 37
(小学生)
金币: 8861
帖子: 361
在线: 77.3小时
虫号: 931265
★
小木虫: 金币+0.5, 给个红包,谢谢回帖
引用回帖:
14楼
:
Originally posted by
zodiac13
at 2012-12-13 17:51:10
正准备直接测一下吸收谱呢。因为是托别人帮忙测试的,我对测试结果信心不是很足。我查阅了许多文献,没看到有这么明显的峰。但是有一部分测试结果又能和文献比较吻合。正在纠结中。你有遇到过这样的情况吗?...
没有遇到过。我都是直接测吸收。而且,你的谱图有两处太跳跃了,看起来有些奇怪。
赞
一下
回复此楼
15楼
2012-12-14 03:20:34
已阅
回复此楼
关注TA
给TA发消息
送TA红花
TA的回帖
zodiac13
金虫
(小有名气)
应助: 6
(幼儿园)
金币: 708.6
帖子: 127
在线: 99.6小时
虫号: 1308674
引用回帖:
15楼
:
Originally posted by
seyon
at 2012-12-14 03:20:34
没有遇到过。我都是直接测吸收。而且,你的谱图有两处太跳跃了,看起来有些奇怪。...
跳跃是仪器的问题,大概是换光栅的原因。
赞
一下
回复此楼
16楼
2012-12-14 10:16:29
已阅
回复此楼
关注TA
给TA发消息
送TA红花
TA的回帖
zhen2472
金虫
(初入文坛)
应助: 0
(幼儿园)
金币: 1333
帖子: 45
在线: 52.2小时
虫号: 2090308
★
小木虫: 金币+0.5, 给个红包,谢谢回帖
引用回帖:
15楼
:
Originally posted by
seyon
at 2012-12-14 03:20:34
没有遇到过。我都是直接测吸收。而且,你的谱图有两处太跳跃了,看起来有些奇怪。...
你好 你的吸收谱是用什么仪器测得呢 我做的是在Si和石英基底上镀ZnSe薄膜 也想测吸收谱 不知道怎么测
赞
一下
回复此楼
17楼
2013-06-05 17:51:19
已阅
回复此楼
关注TA
给TA发消息
送TA红花
TA的回帖
简单回复
su-b08
2楼
2012-12-05 15:16
回复
zodiac13(金币+1): 谢谢参与
残雪1987
5楼
2012-12-08 20:46
回复
zodiac13(金币+1): 谢谢参与
相关版块跳转
材料综合
材料工程
微米和纳米
晶体
金属
无机非金属
生物材料
功能材料
复合材料
我要订阅楼主
zodiac13
的主题更新
17
1/1
返回列表
如果回帖内容含有宣传信息,请如实选中。否则帐号将被全论坛禁言
普通表情
龙
兔
虎
猫
高级回复
(可上传附件)
百度网盘
|
360云盘
|
千易网盘
|
华为网盘
在新窗口页面中打开自己喜欢的网盘网站,将文件上传后,然后将下载链接复制到帖子内容中就可以了。
信息提示
关闭
请填处理意见
关闭
确定