| ²é¿´: 1892 | »Ø¸´: 7 | ||||
Íõ½ðÈÙ1987Ìú³æ (³õÈëÎÄ̳)
|
[ÇóÖú]
ÈçºÎÓÃPWSCF¼ÆË㵯ÐÔ³£Êý°¡£¿
|
good resources |
» ²ÂÄãϲ»¶
²ÄÁÏר˶ӢһÊý¶þ306
ÒѾÓÐ5È˻ظ´
085600²ÄÁÏÓ뻯¹¤µ÷¼Á 324·Ö
ÒѾÓÐ9È˻ظ´
0703»¯Ñ§µ÷¼Á
ÒѾÓÐ12È˻ظ´
0703»¯Ñ§ 305Çóµ÷¼Á
ÒѾÓÐ4È˻ظ´
0703»¯Ñ§µ÷¼Á£¬Çó¸÷λÀÏʦÊÕÁô
ÒѾÓÐ10È˻ظ´
271²ÄÁϹ¤³ÌÇóµ÷¼Á
ÒѾÓÐ5È˻ظ´
281Çóµ÷¼Á£¨0805£©
ÒѾÓÐ16È˻ظ´
304Çóµ÷¼Á
ÒѾÓÐ6È˻ظ´
²ÄÁϹ¤³Ìר˶µ÷¼Á
ÒѾÓÐ6È˻ظ´
Ò»Ö¾Ô¸Ìì´ó²ÄÁÏÓ뻯¹¤£¨085600£©×Ü·Ö338
ÒѾÓÐ4È˻ظ´
» ±¾Ö÷ÌâÏà¹Ø¼ÛÖµÌùÍÆ¼ö£¬¶ÔÄúͬÑùÓаïÖú:
Çóר¼Ò½â»ó£ºpwscf²¢ÐмÆËãcpu·ÖÅäÎÊÌâ
ÒѾÓÐ3È˻ظ´
ÐÂÊÖÀûÓÃpwscf ÓÅ»¯ ZnOµÄ¾§¸ñ³£ÊýÀÏÊdzöÎÊÌ⣬ ÇóÖú£¡
ÒѾÓÐ9È˻ظ´
ÇóPWSCFʹÓÃ˵Ã÷Êé
ÒѾÓÐ3È˻ظ´
¡¾ÇóÖú¡¿pwscf¼ÆËãµÃµ½µÄÄÜ´øÍ¼ºÜÂÒ
ÒѾÓÐ16È˻ظ´
¡¾ÇóÖú¡¿ÀûÓÃabinit»òpwscfÈí¼þÔÚµ¥»úÉÏ¿ÉÒÔ¼ÆËã°ëµ¼Ìå²ÄÁϵÄÄÄЩÐÔÖÊ?
ÒѾÓÐ8È˻ظ´
¡¾ÇóÖú¡¿ÇóFortan90»òFortran95±àÒëÆ÷£¬°²×°PWscfÓõġ£
ÒѾÓÐ6È˻ظ´
¡¾ÇóÖú¡¿¹ØÓÚPWSCF½éµç³£ÊýºÍÉù×ӯ׵ļÆËã
ÒѾÓÐ7È˻ظ´
¡¾ÇóÖú¡¿PWSCF¼ÆËã½éµç¼«»¯Ê±ÎªºÎ³öÏÖÈçÏÂÌáʾ£¿
ÒѾÓÐ19È˻ظ´
¡¾ÇóÖú¡¿ÓÃPWSCFÖеÄLDA+U×ö·´Ìú´Å¾øÔµÌåϵµÄ³ÚÔ¥¼ÆËã
ÒѾÓÐ23È˻ظ´
¡¾ÇóÖú¡¿pwscfÔõÑù¼ÆËã½éµç³£ÊýºÍ²¨¶÷ÓÐЧµçºÉ
ÒѾÓÐ13È˻ظ´
¡¾ÇóÖú¡¿Çë½ÌPWSCF¾§Ì彨ģºÍ×ÔÇ¢¼ÆË㣬²»ÊÕÁ²
ÒѾÓÐ21È˻ظ´
¡¾ÇóÖú¡¿pwscfÄܼÆËã²ÄÁϵÄһЩºê¹ÛÐÔÖÊÂð£¿
ÒѾÓÐ9È˻ظ´

souledge
ר¼Ò¹ËÎÊ (ÖøÃûдÊÖ)
-

ר¼Ò¾Ñé: +174 - 1STÇ¿Ìû: 19
- Ó¦Öú: 303 (´óѧÉú)
- ½ð±Ò: 11306.4
- É¢½ð: 1123
- ºì»¨: 108
- Ìû×Ó: 2814
- ÔÚÏß: 916.1Сʱ
- ³æºÅ: 941486
- ×¢²á: 2010-01-12
- רҵ: ½á¹¹ÌÕ´É
- ¹ÜϽ: µÚÒ»ÐÔÔÀí
¡¾´ð°¸¡¿Ó¦Öú»ØÌû
¡ï ¡ï ¡ï ¡ï ¡ï ¡ï ¡ï ¡ï ¡ï ¡ï ¡ï ¡ï ¡ï ¡ï ¡ï ¡ï ¡ï ¡ï ¡ï ¡ï ¡ï ¡ï ¡ï ¡ï ¡ï ¡ï ¡ï ¡ï ¡ï ¡ï ¡ï ¡ï ¡ï ¡ï ¡ï
¸Ðл²ÎÓ룬ӦÖúÖ¸Êý +1
franch: ½ð±Ò+5, ר¼Ò¿¼ºË, лл»ØÌû½»Á÷£¬ 2012-12-03 21:46:08
Íõ½ðÈÙ1987: ½ð±Ò+30, ¡ïÓаïÖú, Õâ¸öÎÒ´óÖÂÓеãÃ÷°×£¬µ«ÊǾßÌåµÄ»¹ÊÇÓеãÄ£ºý£¬ÄǸöM J MehlµÄÎÄÕÂÎÒȷʵûÓп´£¬ÎÒÊÇѧ×ÅVASPµÄ×ö·¨×öµÄ£¬ÄãÄܰÑÄǸöÎÄÏ׸øÎÒÒ»ÏÂÂ𣿠2012-12-04 12:31:36
¸Ðл²ÎÓ룬ӦÖúÖ¸Êý +1
franch: ½ð±Ò+5, ר¼Ò¿¼ºË, лл»ØÌû½»Á÷£¬ 2012-12-03 21:46:08
Íõ½ðÈÙ1987: ½ð±Ò+30, ¡ïÓаïÖú, Õâ¸öÎÒ´óÖÂÓеãÃ÷°×£¬µ«ÊǾßÌåµÄ»¹ÊÇÓеãÄ£ºý£¬ÄǸöM J MehlµÄÎÄÕÂÎÒȷʵûÓп´£¬ÎÒÊÇѧ×ÅVASPµÄ×ö·¨×öµÄ£¬ÄãÄܰÑÄǸöÎÄÏ׸øÎÒÒ»ÏÂÂ𣿠2012-12-04 12:31:36
|
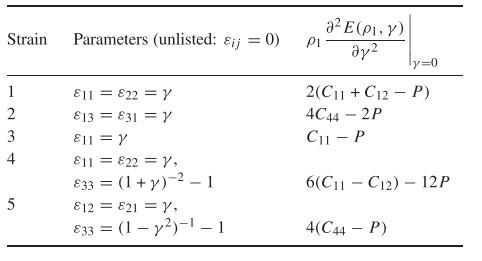
Õ¦¿´LZµÄ¼ÆËã·½·¨Õâô¾À½áÄØ£¿ÓÐûÓп´M J MehlµÄÎÄÕÂÄØ£¿¶ÔÓÚÁ¢·½¾§£¨¿´LZÖ»ÐèÒªC11£¬C12ºÍC44£©£¬Ö»ÐèÒª¼ÆËãÈý²½£º 1£¬Ê¹ÓÃEOSÄâºÏ¼ÆËãÌåÄ£Á¿£ºB0 = £¨ C11 +2C12 £©£¯ 3£» 2£¬¼ÙÉèÐαäΪx£¬ÔòÓÐÐÎ±ä¾ØÕó£ºe1=x, e2=-x, e3=x^2/(1-x^2)£¬ÆäËûÓ¦±äÁ¿ÎªÁã¡£ÔÙ°Ñx-E£¨x£©¹ØÏµÄâºÏ·½³ÌdE=V0 £¨C11-C12£©x^2£¬ÆäÖÐV0ÊÇÆ½ºâλÖÃÌå»ý£¬dEÊÇÐαäºó×ÜÄÜÓëÆ½ºâλÖÃ×ÜÄܵIJȻºóÁªÁ¢¸Ã½á¹ûºÍÌåÄ£Á¿µÃµ½C11ºÍC12¡£ 3£¬¶ÔÓÚC44£¬½øÐÐÐαäΪ£ºe3=x^2/(4-x^2), e6=x£¬ÆäËûÏòÁ¿ÎªÁã¡£ÄâºÏ·½³Ì dE = 0.5 V0 C44 x^2¡£ |
» ±¾ÌûÒÑ»ñµÃµÄºì»¨£¨×îÐÂ10¶ä£©

2Â¥2012-12-03 20:19:04
chembetsey
ľ³æ (СÓÐÃûÆø)
- Ó¦Öú: 125 (¸ßÖÐÉú)
- ½ð±Ò: 3820.1
- É¢½ð: 5
- ºì»¨: 9
- Ìû×Ó: 262
- ÔÚÏß: 281.8Сʱ
- ³æºÅ: 1781694
- ×¢²á: 2012-04-27
- רҵ: ÀíÂۺͼÆË㻯ѧ
3Â¥2012-12-04 05:15:59
zhoufeng1982
ľ³æ (ÖøÃûдÊÖ)
- Ó¦Öú: 0 (Ó×¶ùÔ°)
- ½ð±Ò: 2431.1
- É¢½ð: 1
- ºì»¨: 3
- Ìû×Ó: 2691
- ÔÚÏß: 82.6Сʱ
- ³æºÅ: 1193591
- ×¢²á: 2011-01-21
- רҵ: ÎïÀí»¯Ñ§
4Â¥2012-12-04 08:21:53
Íõ½ðÈÙ1987
Ìú³æ (³õÈëÎÄ̳)
- Ó¦Öú: 0 (Ó×¶ùÔ°)
- ½ð±Ò: 143.6
- Ìû×Ó: 16
- ÔÚÏß: 10.6Сʱ
- ³æºÅ: 1434566
- ×¢²á: 2011-10-10
- ÐÔ±ð: GG
- רҵ: Äý¾Û̬ÎïÐÔI:½á¹¹¡¢Á¦Ñ§ºÍ

5Â¥2012-12-04 12:32:36
souledge
ר¼Ò¹ËÎÊ (ÖøÃûдÊÖ)
-

ר¼Ò¾Ñé: +174 - 1STÇ¿Ìû: 19
- Ó¦Öú: 303 (´óѧÉú)
- ½ð±Ò: 11306.4
- É¢½ð: 1123
- ºì»¨: 108
- Ìû×Ó: 2814
- ÔÚÏß: 916.1Сʱ
- ³æºÅ: 941486
- ×¢²á: 2010-01-12
- רҵ: ½á¹¹ÌÕ´É
- ¹ÜϽ: µÚÒ»ÐÔÔÀí

6Â¥2012-12-04 13:00:40
tangosnow
ľ³æ (СÓÐÃûÆø)
- Ó¦Öú: 37 (СѧÉú)
- ½ð±Ò: 4525.9
- É¢½ð: 5
- ºì»¨: 4
- Ìû×Ó: 295
- ÔÚÏß: 284.5Сʱ
- ³æºÅ: 325625
- ×¢²á: 2007-03-17
- ÐÔ±ð: GG
- רҵ: Äý¾Û̬ÎïÐÔ II £ºµç×ӽṹ
7Â¥2012-12-06 00:49:39
Íõ½ðÈÙ1987
Ìú³æ (³õÈëÎÄ̳)
- Ó¦Öú: 0 (Ó×¶ùÔ°)
- ½ð±Ò: 143.6
- Ìû×Ó: 16
- ÔÚÏß: 10.6Сʱ
- ³æºÅ: 1434566
- ×¢²á: 2011-10-10
- ÐÔ±ð: GG
- רҵ: Äý¾Û̬ÎïÐÔI:½á¹¹¡¢Á¦Ñ§ºÍ

8Â¥2013-04-23 09:50:59














»Ø¸´´ËÂ¥
Íõ½ðÈÙ1987