| ²é¿´: 496 | »Ø¸´: 2 | ||
×ô÷øÎªÄÑ½ð³æ (³õÈëÎÄ̳)
|
[ÇóÖú]
Ëã×ÓÐÐÁÐʽµÄ¼ÆË㣬Çó´óÏÀ°ïæ¡£±êÌâÒª³££¬Òª³££¬Òª³£
|
|
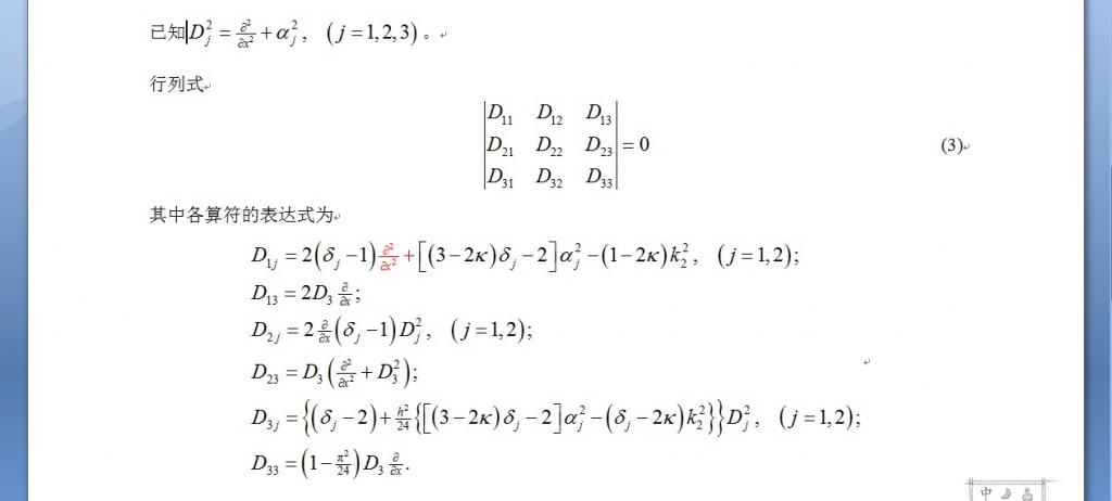
СµÜÓиöÐÐÁÐʽҪ¼ÆË㣬µ«ÊÇmathmaticaÓõIJ¢²»ÊìÁ·£¬ÏëÇë¸÷λ´óÏÀÖ¸µ¼Ð¡µÜÒ»¶þ¡£²¢Ï×ÉÏËùÓнð±ÒÒÔ×ʻر¨¡£ ¾ßÌå¼û¸½¼þ£¬²»Ïë×Ô¼ºÕ¹¿ªÊÖ¶¯Ë㣬ųö´í¡£ ¸½¼þ.jpg |
» ²ÂÄãϲ»¶
Çóµ÷¼Á
ÒѾÓÐ23È˻ظ´
301Çóµ÷¼Á
ÒѾÓÐ15È˻ظ´
304Çóµ÷¼Á£¨085602£¬¹ýËļ¶£¬Ò»Ö¾Ô¸985£©
ÒѾÓÐ17È˻ظ´
302·ÖÇóµ÷¼Á Ò»Ö¾Ô¸°²»Õ´óѧ085601
ÒѾÓÐ12È˻ظ´
288»·¾³×¨Ë¶,Çóµ÷²ÄÁÏ·½Ïò
ÒѾÓÐ23È˻ظ´
»·¾³×¨Ë¶µ÷¼Á
ÒѾÓÐ6È˻ظ´
22408 µ÷¼Á²ÄÁÏ
ÒѾÓÐ6È˻ظ´
285Çóµ÷¼Á
ÒѾÓÐ12È˻ظ´
Çóµ÷¼Á
ÒѾÓÐ6È˻ظ´
085600²ÄÁÏÓ뻯¹¤301·ÖÇóµ÷¼ÁԺУ
ÒѾÓÐ19È˻ظ´
» ±¾Ö÷ÌâÏà¹Ø¼ÛÖµÌùÍÆ¼ö£¬¶ÔÄúͬÑùÓаïÖú:
walk1997
½ð³æ (ÖøÃûдÊÖ)
- Ó¦Öú: 1 (Ó×¶ùÔ°)
- ½ð±Ò: 4676.2
- ºì»¨: 22
- Ìû×Ó: 1066
- ÔÚÏß: 798.1Сʱ
- ³æºÅ: 416039
- ×¢²á: 2007-06-29
- ÐÔ±ð: GG
- רҵ: Á£×ÓÎïÀíѧºÍ³¡ÂÛ
2Â¥2012-11-30 09:23:42
×ô÷øÎªÄÑ
½ð³æ (³õÈëÎÄ̳)
- Ó¦Öú: 0 (Ó×¶ùÔ°)
- ½ð±Ò: 1386
- Ìû×Ó: 11
- ÔÚÏß: 8Сʱ
- ³æºÅ: 2121278
- ×¢²á: 2012-11-12
- ÐÔ±ð: GG
- רҵ: ½á¹¹¹¤³Ì
3Â¥2012-12-03 13:47:01














»Ø¸´´ËÂ¥