| 查看: 2872 | 回复: 11 | ||
| 本帖产生 1 个 ICEPI ,点击这里进行查看 | ||
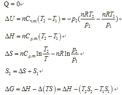
[求助]
绝热等外压压缩,和膨胀的△G
|
||
|
绝热等外压压缩,和膨胀的△G分别大于0还是小于0??? 还有等温等压下食盐溶于水的△S为啥小于0??? 求教各位大侠 [ 发自手机版 http://muchong.com/3g ] |
» 猜你喜欢
聚左旋乳酸的作用与机制:从胶原再生到组织修复
已经有1人回复
可生物降解聚酯聚己内酯的性能分析与发展趋势
已经有0人回复
有机高分子材料论文润色/翻译怎么收费?
已经有103人回复
带膜支架的膜和支架之间的结合力如何测试
已经有2人回复
西交利物浦大学奖学金博士招生(生物传感或机器学习方向)
已经有1人回复
南方科技大学招收金属材料方向博士生
已经有23人回复
可降解聚酯材料在医疗器械中的应用趋势与创新方向
已经有0人回复
可降解微球如何提升药物精准治疗效果
已经有0人回复
静电纺丝膜分层问题
已经有0人回复
什么脱膜剂可以完全清洗干净啊?
已经有2人回复
暨南大学化学与材料学院赵宇亮院士正在招博士和博后,方向为生物材料和纳米医学
已经有1人回复
» 本主题相关价值贴推荐,对您同样有帮助:
【求助】如何实现等温压缩和绝热压缩?
已经有4人回复

xiaoshuchong
金虫 (正式写手)
- ICEPI: 15
- 应助: 60 (初中生)
- 金币: 1445
- 散金: 9
- 红花: 1
- 帖子: 379
- 在线: 101.8小时
- 虫号: 465831
- 注册: 2007-11-23
- 专业: 生化分析及生物传感
4楼2012-11-23 12:41:45
xiaoshuchong
金虫 (正式写手)
- ICEPI: 15
- 应助: 60 (初中生)
- 金币: 1445
- 散金: 9
- 红花: 1
- 帖子: 379
- 在线: 101.8小时
- 虫号: 465831
- 注册: 2007-11-23
- 专业: 生化分析及生物传感
8楼2012-11-24 20:11:01
xiaoshuchong
金虫 (正式写手)
- ICEPI: 15
- 应助: 60 (初中生)
- 金币: 1445
- 散金: 9
- 红花: 1
- 帖子: 379
- 在线: 101.8小时
- 虫号: 465831
- 注册: 2007-11-23
- 专业: 生化分析及生物传感
5楼2012-11-23 12:45:04
lqz2004
木虫 (著名写手)
- ICEPI: 19
- 应助: 64 (初中生)
- 金币: 5418.3
- 散金: 3335
- 红花: 7
- 帖子: 2877
- 在线: 264.4小时
- 虫号: 684396
- 注册: 2008-12-29
- 专业: 催化化学
6楼2012-11-23 13:40:21
xiaoshuchong
金虫 (正式写手)
- ICEPI: 15
- 应助: 60 (初中生)
- 金币: 1445
- 散金: 9
- 红花: 1
- 帖子: 379
- 在线: 101.8小时
- 虫号: 465831
- 注册: 2007-11-23
- 专业: 生化分析及生物传感
2楼2012-11-23 11:39:21
xiaoshuchong
金虫 (正式写手)
- ICEPI: 15
- 应助: 60 (初中生)
- 金币: 1445
- 散金: 9
- 红花: 1
- 帖子: 379
- 在线: 101.8小时
- 虫号: 465831
- 注册: 2007-11-23
- 专业: 生化分析及生物传感
3楼2012-11-23 12:30:52

7楼2012-11-24 12:57:58

9楼2012-11-24 22:59:53

10楼2012-11-24 23:06:55













回复此楼
王杰128