| 查看: 384 | 回复: 2 | ||
tianyi2011新虫 (小有名气)
|
[求助]
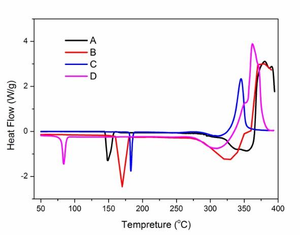
求助各位高人帮忙分析下小弟的这个DSC图
|
|
请求各位高人帮忙分析下这个DSC图,我想测试我的几个季铵盐样品的热稳定性,由于学校的TGA坏了,就测了DSC,不知道能不能分析出他们的热稳定性,小弟是第一次测这个,不太懂,请求各位高人多多指点,不甚感激!!! Y3RND0IJ{ZB%ORFJZM4O397.jpg |
» 猜你喜欢
生物学学硕求调剂
已经有10人回复
上海电力大学材料防护与新材料重点实验室招收调剂研究生(材料、化学、电化学,环境)
已经有4人回复
材料学求调剂
已经有6人回复
303求调剂
已经有5人回复
一志愿武理085500机械专业总分300求调剂
已经有7人回复
考研调剂
已经有4人回复
281求调剂
已经有4人回复
0805 316求调剂
已经有6人回复
085601求调剂总分293英一数二
已经有3人回复
08工学调剂
已经有17人回复
» 本主题相关价值贴推荐,对您同样有帮助:
求助!小弟写论文关于铝碳耐火材料的氧化方面知识,有些不明白的地方,求高人指点!
已经有13人回复
各位高人,此DSC怎么分析???
已经有12人回复
求各位高人给小弟支个招:我是否需要跨专业考研?
已经有24人回复
【求助】有知道用3-苯丙酸和多聚磷酸(PPA)合成Truxene的高人指点下小弟,万分感谢!
已经有3人回复
sudasaoren
木虫 (正式写手)
小木虫
- 应助: 4 (幼儿园)
- 金币: 2079.3
- 散金: 765
- 红花: 1
- 帖子: 650
- 在线: 77.5小时
- 虫号: 512228
- 注册: 2008-02-26
- 性别: GG
- 专业: 有机高分子功能材料

2楼2012-11-20 12:32:47
tianyi2011
新虫 (小有名气)
- 应助: 3 (幼儿园)
- 金币: 292
- 红花: 3
- 帖子: 131
- 在线: 73小时
- 虫号: 1233392
- 注册: 2011-03-15
- 性别: GG
- 专业: 有机分子功能材料化学
3楼2012-11-20 16:41:03













回复此楼