| 查看: 809 | 回复: 1 | |
alessandro新虫 (正式写手)
|
[求助]
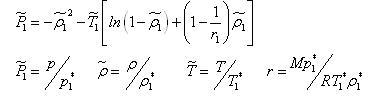
非线性最小二乘法拟合S-L方程的特征参数,matlab求助!!!
|
|
|
|
|
2楼2012-11-15 08:52:23
|
|













回复此楼