| 查看: 878 | 回复: 4 | ||
[交流]
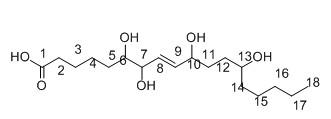
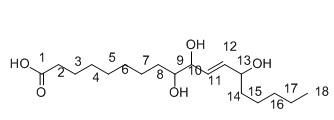
这两个化合物在氢谱和碳谱上有什么明显的区别吗? 已有3人参与
|
lizi7952
荣誉版主 (文坛精英)
我是一只小小小小虫
- PhEPI: 1
- 应助: 21 (小学生)
- 贵宾: 5.765
- 金币: 115202
- 散金: 59145
- 红花: 308
- 沙发: 123
- 帖子: 24708
- 在线: 3681小时
- 虫号: 733127
- 注册: 2009-03-27
- 性别: GG
- 专业: 天然有机化学
- 管辖: 文献求助

2楼2012-11-13 23:37:10

3楼2012-11-14 09:48:07
lhg0209asd
银虫 (正式写手)
- 应助: 109 (高中生)
- 金币: 517.2
- 散金: 1
- 红花: 2
- 帖子: 344
- 在线: 84.3小时
- 虫号: 852296
- 注册: 2009-09-20
- 性别: GG
- 专业: 天然药物化学
4楼2012-11-14 10:32:20
5楼2012-11-14 12:17:56














回复此楼