版块导航
正在加载中...
客户端APP下载
论文辅导
申博辅导
登录
注册
帖子
帖子
用户
本版
应《网络安全法》要求,自2017年10月1日起,未进行实名认证将不得使用互联网跟帖服务。为保障您的帐号能够正常使用,请尽快对帐号进行手机号验证,感谢您的理解与支持!
24小时热门版块排行榜
>
论坛更新日志
(583)
>
虫友互识
(49)
>
导师招生
(22)
>
硕博家园
(20)
>
教师之家
(14)
>
休闲灌水
(11)
>
基金申请
(10)
>
考博
(10)
>
招聘信息布告栏
(9)
>
文献求助
(8)
>
公派出国
(8)
>
博后之家
(7)
>
考研
(7)
>
论文投稿
(6)
>
找工作
(4)
>
论文道贺祈福
(3)
小木虫论坛-学术科研互动平台
»
专业学科区
»
数学
»
数学综合
»
如何去掉右式中根号?
4
1/1
返回列表
查看: 2291 | 回复: 10
查看全部回帖
@他人
存档
新回复提醒
(忽略)
收藏
在APP中查看
当前只显示满足指定条件的回帖,点击这里查看本话题的所有回帖
wanghx71
银虫
(小有名气)
应助: 0
(幼儿园)
金币: 182.9
红花: 1
帖子: 95
在线: 101小时
虫号: 1510366
注册: 2011-11-26
专业: 控制理论与方法
[
求助
]
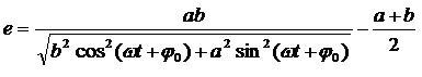
如何去掉右式中根号?
a为椭圆长半轴,b为椭圆短半轴。
未命名1.JPG
[
Last edited by wanghx71 on 2012-11-4 at 20:02
]
回复此楼
» 猜你喜欢
谈谈两天一夜的“延安行”
已经有15人回复
EST投稿状态问题
已经有6人回复
职称评审没过,求安慰
已经有15人回复
垃圾破二本职称评审标准
已经有11人回复
投稿Elsevier的Neoplasia杂志,到最后选publishing options时页面空白,不能完成投稿
已经有16人回复
毕业后当辅导员了,天天各种学生超烦
已经有4人回复
聘U V热熔胶研究人员
已经有10人回复
求助文献
已经有3人回复
投稿返修后收到这样的回复,还有希望吗
已经有8人回复
三无产品还有机会吗
已经有6人回复
1楼
2012-11-04 19:37:17
已阅
回复此楼
关注TA
给TA发消息
送TA红花
TA的回帖
wanghx71
银虫
(小有名气)
应助: 0
(幼儿园)
金币: 182.9
红花: 1
帖子: 95
在线: 101小时
虫号: 1510366
注册: 2011-11-26
专业: 控制理论与方法
wanghx71
银虫
(小有名气)
应助: 0
(幼儿园)
金币: 182.9
红花: 1
帖子: 95
在线: 101小时
虫号: 1510366
注册: 2011-11-26
专业: 控制理论与方法
相关版块跳转
数理科学综合
机械
物理
数学
农林
食品
地学
能源
信息科学
土木建筑
航空航天
转基因
我要订阅楼主
wanghx71
的主题更新
4
1/1
返回列表
如果回帖内容含有宣传信息,请如实选中。否则帐号将被全论坛禁言
普通表情
龙
兔
虎
猫
百度网盘
|
360云盘
|
千易网盘
|
华为网盘
在新窗口页面中打开自己喜欢的网盘网站,将文件上传后,然后将下载链接复制到帖子内容中就可以了。
信息提示
关闭
请填处理意见
关闭
确定