| 查看: 370 | 回复: 4 | ||
[求助]
关于重排
|
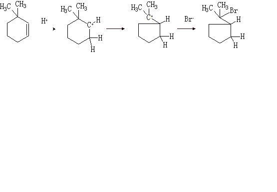
| 关于一个重排的反应,我不知道怎么把化学方程式画在这里,请看Word附件 |
» 本帖附件资源列表
-
欢迎监督和反馈:小木虫仅提供交流平台,不对该内容负责。
本内容由用户自主发布,如果其内容涉及到知识产权问题,其责任在于用户本人,如对版权有异议,请联系邮箱:xiaomuchong@tal.com - 附件 1 : 新建MicrosoftOfficeWord2007文档(2).docx
2012-11-04 18:53:59, 28.1 K
» 猜你喜欢
材料专业调剂
已经有6人回复
282求调剂
已经有15人回复
294分080500材料科学与工程求调剂
已经有14人回复
285求调剂
已经有12人回复
材料与化工(0856)304求B区调剂
已经有14人回复
319求调剂
已经有3人回复
一志愿北交大材料工程总分358
已经有6人回复
301求调剂
已经有10人回复
307分求调剂
已经有11人回复
085600 一志愿9 总分351 求调剂学校
已经有8人回复
2楼2012-11-05 11:17:10
3楼2012-11-05 17:35:14
yangtie2008
超级版主
![]()
![]()
![]()
![]()
- 应助: 1472 (讲师)
- 贵宾: 0.542
- 金币: 58445
- 散金: 214
- 红花: 170
- 沙发: 37
- 帖子: 13363
- 在线: 1686.1小时
- 虫号: 1736771
- 注册: 2012-04-04
- 专业: 有机合成
4楼2013-03-13 19:21:31
yangtie2008
管理员
![]()
![]()
![]()
![]()
- 应助: 1472 (讲师)
- 贵宾: 0.542
- 金币: 58445
- 散金: 214
- 红花: 170
- 沙发: 37
- 帖子: 13363
- 在线: 1686.1小时
- 虫号: 1736771
- 注册: 2012-04-04
- 专业: 有机合成
5楼2013-03-13 19:22:12














回复此楼