| ²é¿´: 1342 | »Ø¸´: 8 | ||
matt_josieÒø³æ (СÓÐÃûÆø)
|
[ÇóÖú]
Çë½ÌCdSµÄmott-Schottky²âÊÔµÄÎÊÌâ ÒÑÓÐ1È˲ÎÓë
|
|
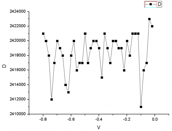
ÎÒÏë²âÊÔCdSµÄM-SÌØÐÔ£¬×ö½áµÄ½á¹¹ÊÇ£ºglass/ITO/CdS/Ni ²âÊÔ³öÀ´µÄ×迹-µçλÇúÏßÈçÏ£¬²»ÖªµÀÊÇÄÄÀï³öÁËÎÊÌ⣿ ÁíÍ⣬Ôõôͨ¹ý×迹Çó³öÀ´µçÈÝÄØ£¿ CV1.png |
» ²ÂÄãϲ»¶
ºþÄÏũҵ´óѧÄÜÔ´²ÄÁÏ´´ÐÂÍŶÓÕÐÊÕ2025»¯Ñ§×¨ÒµÑо¿Éú£¨Ñ§Ë¶£©µ÷¼Á
ÒѾÓÐ0È˻ظ´
2026ÄêÎ÷»ª´óѧ²ÄÁÏѧԺ-²ÄÁϽü¾»³ÉÐÎÓë±íÃæ¼¼ÊõÑо¿ÍŶÓ-ÕÐÊÕµ÷¼ÁÑо¿Éú
ÒѾÓÐ9È˻ظ´
·ÖÎö»¯Ñ§ÂÛÎÄÈóÉ«/·ÒëÔõôÊÕ·Ñ?
ÒѾÓÐ89È˻ظ´
µ÷¼ÁÐÅÏ¢
ÒѾÓÐ0È˻ظ´
»ªÄÏÀí¹¤0703»¯Ñ§£¬×Ü·Ö336Çóµ÷¼Á
ÒѾÓÐ1È˻ظ´
ºÓ±±Å©´óÉúÎïÓëҽҩרҵÕÐÊÕµ÷¼Á£¬Ãû¶î³ä×ã
ÒѾÓÐ0È˻ظ´
Æë³¹¤Òµ´óѧ ¹ú¼ÒÖØµãʵÑéÊÒ-ÐÂÄÜÔ´¡¢ï®Àë×Óµç³Ø¡¢²ÄÁÏ¡¢»¯Ñ§·½Ïò
ÒѾÓÐ0È˻ظ´
һ־Ըǰ4λ´úÂë0703¾ù¿É±¨Ãû-ºÓ±±´óѧ·ÖÎö»¯Ñ§×¨ÒµÕÐÊÕµ÷¼Á¿¼Éú
ÒѾÓÐ57È˻ظ´
¡ï¡ï±¬¡ï¡ï0860ÉúÎïÓëÒ½Ò©µ÷¼Á¿¼Éú¿´¹ýÀ´£¬ºÓ±±´óѧ»¯Ñ§Óë²ÄÁÏ¿ÆÑ§Ñ§Ôº
ÒѾÓÐ64È˻ظ´
½ÜÇà/³¤½ÍŶÓÕÐÊÕµ÷¼Á
ÒѾÓÐ0È˻ظ´
ÖÐÄÏÁÖÒµ¿Æ¼¼´óѧÂÞÓ·æ½ÌÊÚÍŶÓ2026ÄêÕÐÊÕ²ÄÁÏÀàµ÷¼ÁÑо¿Éú
ÒѾÓÐ0È˻ظ´
» ±¾Ö÷ÌâÏà¹Ø¼ÛÖµÌùÍÆ¼ö£¬¶ÔÄúͬÑùÓаïÖú:
Çë½Ì·´Ó¦Ìåϵѻ··ü°²ÇúÏß²âÊÔÎÊÌâ¡£
ÒѾÓÐ6È˻ظ´
Çë½ÌÒ»¸önanosizer²âÊÔµÄÎÊÌâ
ÒѾÓÐ8È˻ظ´
Çë½ÌVSM²âÊÔÎÊÌ⣬¸÷λ´óÉñÇëÖ¸½Ì¡£
ÒѾÓÐ8È˻ظ´
ZnOµÄMott-schottky²âÊÔʵÑé (Óи£Àû)
ÒѾÓÐ6È˻ظ´
ÇóÖúÓÃMott¨CSchottky ²âÊÔÅжϰ뵼Ìåµ¼µçÀàÐÍ
ÒѾÓÐ16È˻ظ´
¹ØÓÚMott-SchottkyµÄµç»¯Ñ§²âÁ¿ÎÊÌâ
ÒѾÓÐ14È˻ظ´
Çë½ÌÒ»¸öÓ«¹â²âÊÔÎÊÌâ
ÒѾÓÐ7È˻ظ´
Çë½ÌºË´Å²âÊÔµÄÒ»¸öÎÊÌâ
ÒѾÓÐ4È˻ظ´
Çë½Ì¸ö¹ØÓÚ¼¤¹âÀÂü²âÊÔµÄÎÊÌ⣡
ÒѾÓÐ4È˻ظ´
¡¾Çë½Ì¡¿£Ø£Ð£Ó²âÊÔÖУ÷åµÄÎÊÌâ
ÒѾÓÐ26È˻ظ´
¡¾Çë½Ì¡¿´ÅÐÔ²ÄÁϵIJâÊÔÎÊÌ⣡½±Àø½ð±Ò5¸ö£¡
ÒѾÓÐ9È˻ظ´
Jackcd12
ÖÁ×ðľ³æ (ÖªÃû×÷¼Ò)
- ECEPI: 13
- Ó¦Öú: 2150 (½²Ê¦)
- ½ð±Ò: 13919.4
- ºì»¨: 366
- Ìû×Ó: 7632
- ÔÚÏß: 2165.4Сʱ
- ³æºÅ: 1865159
- ×¢²á: 2012-06-20
- ÐÔ±ð: GG
- רҵ: µç»¯Ñ§

2Â¥2012-11-01 14:40:14
matt_josie
Òø³æ (СÓÐÃûÆø)
- Ó¦Öú: 0 (Ó×¶ùÔ°)
- ½ð±Ò: 1925
- Ìû×Ó: 81
- ÔÚÏß: 112.2Сʱ
- ³æºÅ: 1382997
- ×¢²á: 2011-08-29
- רҵ: ¹ÌÌåÎÞ»ú»¯Ñ§
3Â¥2012-11-02 09:08:45
Jackcd12
ÖÁ×ðľ³æ (ÖªÃû×÷¼Ò)
- ECEPI: 13
- Ó¦Öú: 2150 (½²Ê¦)
- ½ð±Ò: 13919.4
- ºì»¨: 366
- Ìû×Ó: 7632
- ÔÚÏß: 2165.4Сʱ
- ³æºÅ: 1865159
- ×¢²á: 2012-06-20
- ÐÔ±ð: GG
- רҵ: µç»¯Ñ§

4Â¥2012-11-02 10:33:42
matt_josie
Òø³æ (СÓÐÃûÆø)
- Ó¦Öú: 0 (Ó×¶ùÔ°)
- ½ð±Ò: 1925
- Ìû×Ó: 81
- ÔÚÏß: 112.2Сʱ
- ³æºÅ: 1382997
- ×¢²á: 2011-08-29
- רҵ: ¹ÌÌåÎÞ»ú»¯Ñ§
5Â¥2012-11-02 10:40:03
matt_josie
Òø³æ (СÓÐÃûÆø)
- Ó¦Öú: 0 (Ó×¶ùÔ°)
- ½ð±Ò: 1925
- Ìû×Ó: 81
- ÔÚÏß: 112.2Сʱ
- ³æºÅ: 1382997
- ×¢²á: 2011-08-29
- רҵ: ¹ÌÌåÎÞ»ú»¯Ñ§
6Â¥2012-11-02 10:40:43
Jackcd12
ÖÁ×ðľ³æ (ÖªÃû×÷¼Ò)
- ECEPI: 13
- Ó¦Öú: 2150 (½²Ê¦)
- ½ð±Ò: 13919.4
- ºì»¨: 366
- Ìû×Ó: 7632
- ÔÚÏß: 2165.4Сʱ
- ³æºÅ: 1865159
- ×¢²á: 2012-06-20
- ÐÔ±ð: GG
- רҵ: µç»¯Ñ§
¡¾´ð°¸¡¿Ó¦Öú»ØÌû
|
ÄãµÄµçλ·¶Î§¿ÉÄÜСÁËÒ»µã£¬ÏÈ¿´¿´¿ªÂ·µçλÊǶà´ó£¬Ò»°ãÔÚ¿ªÂ·µçλ×óÓÒ0.8-1V·¶Î§ÄÚɨÃ裬½»Á÷ÐÅºÅµÄÆµÂÊ¿ÉÒÔÑ¡Ôñ5kHz£¬ÐèҪʹÓÃÈýµç¼«Ìåϵ£¬µçλɨÃèËÙ¶È50mV/s×óÓÒ£¬Õýɨ£¬·´É¨£¬ÔÙÊÔÒ»ÊÔ¡£ ÎÒ²»Çå³þÄãÖ¸µÄphaseÏàÊÇʲô£¬ÊÇ×迹Æ×µÄÏàλ½ÇÄØ£¿»¹ÊÇÄãµÄ¶à²ã½á¹¹µÄÏà½çÃæ£¿ |

7Â¥2012-11-02 10:55:25
matt_josie
Òø³æ (СÓÐÃûÆø)
- Ó¦Öú: 0 (Ó×¶ùÔ°)
- ½ð±Ò: 1925
- Ìû×Ó: 81
- ÔÚÏß: 112.2Сʱ
- ³æºÅ: 1382997
- ×¢²á: 2011-08-29
- רҵ: ¹ÌÌåÎÞ»ú»¯Ñ§
8Â¥2012-11-02 11:15:42
ľè÷¦Î
½ð³æ (СÓÐÃûÆø)
- Ó¦Öú: 0 (Ó×¶ùÔ°)
- ½ð±Ò: 44
- É¢½ð: 45
- Ìû×Ó: 175
- ÔÚÏß: 83.5Сʱ
- ³æºÅ: 4535606
- ×¢²á: 2016-03-23
- רҵ: ´ß»¯»¯Ñ§
9Â¥2019-11-14 17:22:04














»Ø¸´´ËÂ¥