| 查看: 1091 | 回复: 5 | |
| 本帖产生 1 个 博学EPI ,点击这里进行查看 | |
donger801223木虫 (小有名气)
|
[求助]
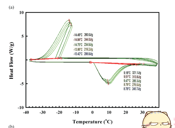
冰在零下十几度是什么相变
|
|
|
|
| 回帖置顶 ( 共有1个 ) | |
wlloveczl铁杆木虫 (正式写手)
|
|
![]() |
|
|
6楼2012-10-29 09:17:55
|
|
| 普通回帖 | |
liu2004m荣誉版主 (文坛精英)
|
|
|
2楼2012-10-26 11:48:42
|
|
donger801223木虫 (小有名气)
|
|
|
3楼2012-10-26 14:31:56
|
|
wlloveczl铁杆木虫 (正式写手)
|
|
![]() |
|
|
4楼2012-10-26 15:53:36
|
|
donger801223木虫 (小有名气)
|
|
|
5楼2012-10-27 17:24:01
|
|














回复此楼
