| 查看: 458 | 回复: 0 | ||
tophonglei银虫 (小有名气)
|
[求助]
一维光子晶体是如何实现负折射率
|
|
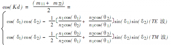
在一维光子晶体中,如图得到色散关系,但是色散关系中的布洛赫波失被投影到周期结构的方向(K*A),而实现负折射率意思是在垂直周期结构方向的群速度要为负数,但是色散关系中没有描述垂直周期结构方向的波失,那是如何得到垂直方向的群速度的呢?求大神指点 这个问题困扰小弟好久了 图片1.png 图片2.png |
» 猜你喜欢
拟解决的关键科学问题还要不要写
已经有7人回复
存款400万可以在学校里躺平吗
已经有19人回复
国自然申请面上模板最新2026版出了吗?
已经有19人回复
请教限项目规定
已经有3人回复
基金委咋了?2026年的指南还没有出来?
已经有10人回复
基金申报
已经有6人回复
推荐一本书
已经有13人回复
纳米粒子粒径的测量
已经有8人回复
疑惑?
已经有5人回复
计算机、0854电子信息(085401-058412)调剂
已经有5人回复
找到一些相关的精华帖子,希望有用哦~
rsoft或者comsol模拟不重复的一维光子晶体的问题
已经有13人回复
【求助】一维光子晶体的电场分布
已经有12人回复
科研从小木虫开始,人人为我,我为人人













回复此楼
点击这里搜索更多相关资源