| ²é¿´: 1072 | »Ø¸´: 13 | ||
1225635043гæ (³õÈëÎÄ̳)
|
[ÇóÖú]
¹ØÓÚÇóµ¼
|
|
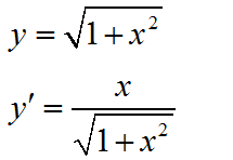
| y=¸ùºÅÏÂ1+x2 µÄµ¼ÊýÔõôÇó |
» ²ÂÄãϲ»¶
¿¼Ñе÷¼Á
ÒѾÓÐ3È˻ظ´
289Çóµ÷¼Á
ÒѾÓÐ5È˻ظ´
²ÄÁÏ292µ÷¼Á
ÒѾÓÐ12È˻ظ´
»¯Ñ§µ÷¼Á
ÒѾÓÐ4È˻ظ´
292Çóµ÷¼Á
ÒѾÓÐ14È˻ظ´
322Çóµ÷¼Á
ÒѾÓÐ4È˻ظ´
26É격
ÒѾÓÐ3È˻ظ´
307Çóµ÷¼Á
ÒѾÓÐ9È˻ظ´
283Çóµ÷¼Á£¨080500£©
ÒѾÓÐ4È˻ظ´
287Çóµ÷¼Á
ÒѾÓÐ10È˻ظ´
Jeydragon
ľ³æ (ÕýʽдÊÖ)
- Ó¦Öú: 5 (Ó×¶ùÔ°)
- ½ð±Ò: 4611.2
- É¢½ð: 268
- ºì»¨: 11
- Ìû×Ó: 993
- ÔÚÏß: 229.6Сʱ
- ³æºÅ: 966560
- ×¢²á: 2010-03-10
- רҵ: ´óµØ²âÁ¿Ñ§
¡¾´ð°¸¡¿Ó¦Öú»ØÌû
¡ï
СÓêÃÈÃÈ: ½ð±Ò+1, 3Q 2012-10-30 19:11:19
СÓêÃÈÃÈ: ½ð±Ò+1, 3Q 2012-10-30 19:11:19

7Â¥2012-10-26 13:35:28
kk845306452
гæ (³õÈëÎÄ̳)
- Ó¦Öú: 2 (Ó×¶ùÔ°)
- ½ð±Ò: 0.5
- Ìû×Ó: 8
- ÔÚÏß: 29.8Сʱ
- ³æºÅ: 1863848
- ×¢²á: 2012-06-19
- רҵ: º¯ÊýÂÛ
2Â¥2012-10-25 19:17:00
kk845306452
гæ (³õÈëÎÄ̳)
- Ó¦Öú: 2 (Ó×¶ùÔ°)
- ½ð±Ò: 0.5
- Ìû×Ó: 8
- ÔÚÏß: 29.8Сʱ
- ³æºÅ: 1863848
- ×¢²á: 2012-06-19
- רҵ: º¯ÊýÂÛ
3Â¥2012-10-25 19:28:09
ͼÂÛ
Òø³æ (³õÈëÎÄ̳)
- Ó¦Öú: 14 (СѧÉú)
- ½ð±Ò: 201.3
- É¢½ð: 10
- ºì»¨: 1
- Ìû×Ó: 36
- ÔÚÏß: 19.9Сʱ
- ³æºÅ: 1973132
- ×¢²á: 2012-09-04
- ÐÔ±ð: MM
- רҵ: ×éºÏÊýѧ
¡¾´ð°¸¡¿Ó¦Öú»ØÌû
¡ï ¡ï ¡ï
¸Ðл²ÎÓ룬ӦÖúÖ¸Êý +1
СÓêÃÈÃÈ: ½ð±Ò+3, ллӦÖú~ 2012-10-30 19:10:55
¸Ðл²ÎÓ룬ӦÖúÖ¸Êý +1
СÓêÃÈÃÈ: ½ð±Ò+3, ллӦÖú~ 2012-10-30 19:10:55
|
н¨ Microsoft Word Îĵµ (2).docx(19.08KB) http://kuai.xunlei.com/d/GTPPHBFENOCV?p=130497 |

4Â¥2012-10-25 22:17:18
enjoyľ³æ
Ìú³æ (³õÈëÎÄ̳)
- Ó¦Öú: 1 (Ó×¶ùÔ°)
- ½ð±Ò: 145.5
- Ìû×Ó: 13
- ÔÚÏß: 5.9Сʱ
- ³æºÅ: 2079672
- ×¢²á: 2012-10-22
- ÐÔ±ð: MM
- רҵ: ´úÊýѧ
5Â¥2012-10-26 13:30:29
Jeydragon
ľ³æ (ÕýʽдÊÖ)
- Ó¦Öú: 5 (Ó×¶ùÔ°)
- ½ð±Ò: 4611.2
- É¢½ð: 268
- ºì»¨: 11
- Ìû×Ó: 993
- ÔÚÏß: 229.6Сʱ
- ³æºÅ: 966560
- ×¢²á: 2010-03-10
- רҵ: ´óµØ²âÁ¿Ñ§
¡¾´ð°¸¡¿Ó¦Öú»ØÌû
¡ï ¡ï ¡ï
¸Ðл²ÎÓ룬ӦÖúÖ¸Êý +1
СÓêÃÈÃÈ: ½ð±Ò+3, ллӦÖú~ 2012-10-30 19:11:10
¸Ðл²ÎÓ룬ӦÖúÖ¸Êý +1
СÓêÃÈÃÈ: ½ð±Ò+3, ллӦÖú~ 2012-10-30 19:11:10
|
2.png(2.27KB) http://kuai.xunlei.com/d/GDUYPZWKMRHK?p=130497 |

6Â¥2012-10-26 13:33:56
ËÉ·å
Ìú¸Ëľ³æ (СÓÐÃûÆø)
- Ó¦Öú: 2 (Ó×¶ùÔ°)
- ½ð±Ò: 10379
- Ìû×Ó: 133
- ÔÚÏß: 30Сʱ
- ³æºÅ: 374621
- ×¢²á: 2007-05-17
- ÐÔ±ð: GG
- רҵ: »¯Ñ§·´Ó¦¹¤³Ì

8Â¥2012-10-26 14:09:41
jc3299
гæ (³õÈëÎÄ̳)
- Ó¦Öú: 0 (Ó×¶ùÔ°)
- ½ð±Ò: 11.5
- Ìû×Ó: 1
- ÔÚÏß: 1.8Сʱ
- ³æºÅ: 2106000
- ×¢²á: 2012-11-04
- רҵ: ´úÊýѧ
9Â¥2012-11-04 15:53:22
dfcky
ľ³æ (ÕýʽдÊÖ)
- Ó¦Öú: 3 (Ó×¶ùÔ°)
- ½ð±Ò: 1079.4
- Ìû×Ó: 632
- ÔÚÏß: 187.7Сʱ
- ³æºÅ: 2105919
- ×¢²á: 2012-11-04
- רҵ: ´úÊýѧ
10Â¥2012-11-06 17:22:51














»Ø¸´´ËÂ¥
6