| 查看: 466 | 回复: 3 | |
| 本帖产生 1 个 博学EPI ,点击这里进行查看 | |
min301997铁杆木虫 (正式写手)
|
[求助]
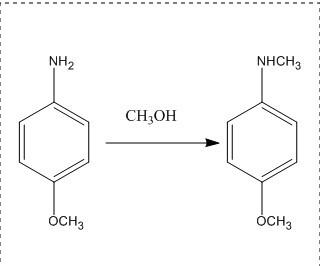
N-甲基-4-氨基苯甲醚合成
|
|
|
|
| 回帖置顶 ( 共有1个 ) | |
kiss20085537木虫之王 (文学泰斗)
联合国小木虫水区资深代言人
|
|
![]() |
|
|
3楼2012-10-25 20:37:15
|
|
| 普通回帖 | |
kiss20085537木虫之王 (文学泰斗)
联合国小木虫水区资深代言人
|
|
![]() |
|
|
2楼2012-10-25 20:36:29
|
|
kiss20085537木虫之王 (文学泰斗)
联合国小木虫水区资深代言人
|
|
![]() |
|
|
4楼2012-10-25 20:39:00
|
|













回复此楼

10