| 查看: 231 | 回复: 0 | ||
zelgadiss木虫 (初入文坛)
|
[求助]
求解答编程问题
|
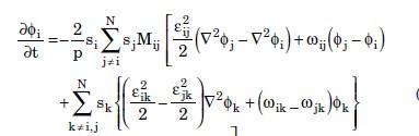
我是一个新手,还请各位高手指教,下面公式怎么编程运算,我自己理解如果图片1中的i和j相等的时候,他们所在的那一项应该为0 ,不需要再做求和后的减去自身运算,所以不理解怎么弄,还请,高手能帮我编出一个完整的程序,帮我我理解和学习,程序语言matlab,vc或者fortran都行,谢谢![]() 1.jpg 2.jpg |
» 猜你喜欢
312求调剂
已经有4人回复
一志愿0817化学工程与技术,求调剂
已经有4人回复
材料调剂
已经有7人回复
302求调剂一志愿华中师范大学
已经有7人回复
071000生物学调剂
已经有7人回复
一志愿安徽大学0817化学工程与技术,求调剂
已经有4人回复
326求调剂
已经有5人回复
材料专硕322分
已经有10人回复
309求调剂
已经有10人回复
考研调剂
已经有5人回复
找到一些相关的精华帖子,希望有用哦~
求高手答疑。采油和油气藏开发哪个方向好?
已经有16人回复
嵌入式Linux应用程序开发详解(完整版).
已经有174人回复
可以用GA或者PSO优化算法把RBF神经网络的中心值,宽度和权值一起训练吗??
已经有8人回复
MATLAB 编程求解普通实验数据时间序列的最大李雅普诺夫指数!!!
已经有12人回复
大二编程废求助高手解答一下这个贪吃蛇的C++程序
已经有7人回复
100BB急求matlab编程中的问题解决,如何修改这个程序呢?
已经有4人回复
求助,linux操作系统下编程问题(已解决)
已经有3人回复
求助:matlab编程求解变管径流场问题?
已经有6人回复
不太明白“技术开发”和“信息调研”两个职位的区别?能帮忙解释一下吗?
已经有26人回复
【求助】有关“SW0PC_FXGP编程软件”的介绍
已经有1人回复
关于应用MATLAB工具箱BP网络编程问题
已经有1人回复
请高手帮忙——用编程的方法描述曲线的变化
已经有2人回复
科研从小木虫开始,人人为我,我为人人















回复此楼
点击这里搜索更多相关资源