| 查看: 280 | 回复: 0 | ||
shu_huiqiang铜虫 (小有名气)
|
[求助]
热动力学参量的解释
|
|
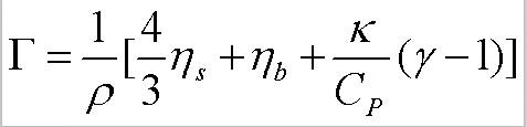
动力学变量Γ是体黏度系数ηs和剪切黏度系数ηb的函数,请帮忙给出如下图片中公式的详细解释,最好给出处,哪本书中有详细介绍。式中κ是热导率,Cp是恒压热容,γ=Cp/Cv,Cv是恒容热容。 公式.jpg |
» 猜你喜欢
熔融降温一步法制备微晶玻璃
已经有6人回复
2026申博自荐
已经有6人回复
有机高分子材料论文润色/翻译怎么收费?
已经有97人回复
有没有博后推荐啊,救救孩子吧
已经有7人回复
福建师范大学海峡柔性电子学院-2026年9月入学博士-考核制
已经有2人回复
分子动力学玻璃模拟中成键问题
已经有0人回复
求求2Cr13的激光冲击有限元模拟J-C本构参数
已经有0人回复
2026级材料类方向博士申请
已经有21人回复

找到一些相关的精华帖子,希望有用哦~
动力学参数拟合
已经有26人回复
热分析动力学》??
已经有10人回复
请教matlab反应动力学参数估计遇到的问题,谢谢
已经有15人回复
药代动力学参数的查询
已经有12人回复
matlab拟合拟均相动力学参数
已经有6人回复
关于DSC研究环氧树脂固化动力学的具体参数和步骤~~~~
已经有10人回复
动力学方程拟合 参数求解
已经有4人回复
【讨论】关于腐蚀速度与动力学参数
已经有15人回复
【求助】一个药代动力学参数的不理解,帮帮忙
已经有6人回复
【求助】求2010年注册化工工程师基础考试的考试大纲
已经有4人回复
【求助/交流】酶的动力学参数问题
已经有14人回复
科研从小木虫开始,人人为我,我为人人













回复此楼
点击这里搜索更多相关资源