| 查看: 764 | 回复: 0 | ||
8903414金虫 (小有名气)
|
[求助]
这样的Noe相关论据充分吗?刚接触Noesy,不知道怎么样理解。
|
|
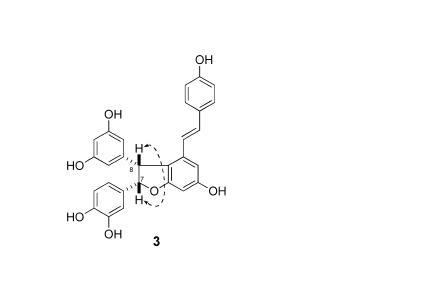
看到一篇chem pharm bull发表的文献,H7,8的立体结构根据如下的相关,我用chemdraw 3D模拟了一下,发现如果这两个H 在同侧,距离为2.352,在异测,距离为3.095,根据以前论坛中老师们讲的,应该都有相关呀,如果都有相关的话,那文献为什么就能定两个H在同侧呢?是不是不仅要看两个质子的距离,还要看相关信号的强弱? 未命名.JPG |
» 猜你喜欢
依托企业入选了国家启明计划青年人才。有无高校可以引进的。
已经有11人回复
依托企业入选了国家启明计划青年人才。有无高校可以引进的。
已经有10人回复
同年申请2项不同项目,第1个项目里不写第2个项目的信息,可以吗
已经有9人回复
有时候真觉得大城市人没有县城人甚至个体户幸福
已经有11人回复
表哥与省会女结婚,父母去帮带孩子被省会女气回家生重病了
已经有7人回复
天津大学招2026.09的博士生,欢迎大家推荐交流(博导是本人)
已经有9人回复
有院领导为了换新车,用横向课题经费买了俩车
已经有10人回复
AI 太可怕了,写基金时,提出想法,直接生成的文字比自己想得深远,还有科学性
已经有6人回复

找到一些相关的精华帖子,希望有用哦~
科研从小木虫开始,人人为我,我为人人













回复此楼
点击这里搜索更多相关资源