| ²é¿´: 1651 | »Ø¸´: 5 | ||
zhs4276689ľ³æ (ÕýʽдÊÖ)
|
[ÇóÖú]
½ðÊôÈÛÌåÔڹܵÀÄÚµÄÁ÷ËÙÓë¹Ü¾¶¡¢Ñ¹²î¼äÓÐûÓмÆË㹫ʽ£¿
|
|
ÈçÌ⣬Ö÷ÒªÏë¼ÆË㣬ÔÚÒ»¶¨µÄѹ²îÌõ¼þÏ£¬½ðÊôÈÛÌåÔÚÌØ¶¨¹ÜµÀÄÚµÄÁ÷ËÙÎÊÌ⣬ÓÐûÓпÉÒÔÓõļÆË㹫ʽ£¿Ð»Ð»£¬Æ½¾ùÁ÷ËپͶÔÁË£¬»òÕß˵£¬Äܹ»ÖªµÀÏàͬ¹¤ÒÕÌõ¼þÏ£¬¸Ä±ä¹Ü¾¶£¬Ëٶȵı仯±ÈÀý¾Í¿ÉÒÔÁË£¬£¬±ÈÈç¹Ü¾¶±äΪÁ½±¶£¬ËÙ¶ÈÈçºÎ¸Ä±ä£¿Ð»Ð» [ Last edited by zhs4276689 on 2012-10-14 at 15:14 ] |
» ²ÂÄãϲ»¶
081700£¬311£¬Çóµ÷¼Á
ÒѾÓÐ15È˻ظ´
Ò»Ö¾Ô¸±±¾©»¯¹¤085600 310·ÖÇóµ÷¼Á
ÒѾÓÐ18È˻ظ´
085600²ÄÁÏÓ뻯¹¤301·ÖÇóµ÷¼ÁԺУ
ÒѾÓÐ4È˻ظ´
²ÄÁÏÓ뻯¹¤371Çóµ÷¼Á
ÒѾÓÐ14È˻ظ´
336²ÄÁÏÓ뻯¹¤085600Çóµ÷¼Á
ÒѾÓÐ7È˻ظ´
²ÄÁÏ334Çóµ÷¼Á
ÒѾÓÐ18È˻ظ´
331Çóµ÷¼Á
ÒѾÓÐ8È˻ظ´
332Çóµ÷¼Á
ÒѾÓÐ17È˻ظ´
Ò»Ö¾Ô¸ÄϾ©º½¿Õº½Ìì´óѧ ²ÄÁÏÓ뻯¹¤329·ÖÇóµ÷¼Á
ÒѾÓÐ4È˻ظ´
²ÄÁÏר˶322
ÒѾÓÐ7È˻ظ´
» ±¾Ö÷ÌâÏà¹Ø¼ÛÖµÌùÍÆ¼ö£¬¶ÔÄúͬÑùÓаïÖú:
¶þÑõ»¯Ì¼¹ÜµÀÁ÷ËÙÒ»°ã¶àÉÙ£¿
ÒѾÓÐ3È˻ظ´
¹ÜµÀÁ÷ËÙÓë¹ÜµÀ´óСѡÔñÎÊÌâ ÇóÖ¸µ¼£¡
ÒѾÓÐ7È˻ظ´
Fluent¶Ô½ðÊôÈÛÌå·ÖÎö
ÒѾÓÐ2È˻ظ´
ÒÑÖª¹Ü¾¶¡¢Ñ¹Á¦£¬ÄÜËã³ö·Å¿ÕÁ÷ËÙÂð£¿
ÒѾÓÐ9È˻ظ´
¼ò½àÒ×¶®µÄ¹Ü¾¶Ñ¡ÔñÓë¹ÜµÀѹÁ¦½µ¼ÆËã
ÒѾÓÐ194È˻ظ´
¡¾»·¾³¹¤³Ì¡¿Éè¼ÆÖйܵÀÁ÷Á¿Óë¹Ü¾¶¡¢Ñ¹Á¦¡¢Á÷ËÙµÄÒ»°ã¹ØÏµ
ÒѾÓÐ289È˻ظ´
±±¶·
Ìú¸Ëľ³æ (СÓÐÃûÆø)
- Ó¦Öú: 5 (Ó×¶ùÔ°)
- ½ð±Ò: 5438.5
- É¢½ð: 20
- ºì»¨: 2
- Ìû×Ó: 225
- ÔÚÏß: 579.1Сʱ
- ³æºÅ: 127052
- ×¢²á: 2005-12-08
- ÐÔ±ð: GG
- רҵ: ½ðÊô¹¦ÄܲÄÁÏ
2Â¥2012-10-14 17:08:04
zhs4276689
ľ³æ (ÕýʽдÊÖ)
- Ó¦Öú: 1 (Ó×¶ùÔ°)
- ½ð±Ò: 3293
- É¢½ð: 30
- ºì»¨: 2
- Ìû×Ó: 345
- ÔÚÏß: 171.2Сʱ
- ³æºÅ: 334368
- ×¢²á: 2007-03-30
- רҵ: ½ðÊô»ù¸´ºÏ²ÄÁÏ
3Â¥2012-10-15 07:42:13
liqueyu
½ð³æ (ÕýʽдÊÖ)
- Ó¦Öú: 40 (СѧÉú)
- ½ð±Ò: 551.3
- ºì»¨: 2
- Ìû×Ó: 662
- ÔÚÏß: 199.3Сʱ
- ³æºÅ: 1399064
- ×¢²á: 2011-09-12
- ÐÔ±ð: GG
- רҵ: ½ðÊô»ù¸´ºÏ²ÄÁÏ

4Â¥2012-10-15 12:13:19
kokon1022
½ð³æ (СÓÐÃûÆø)
- Ó¦Öú: 23 (СѧÉú)
- ½ð±Ò: 2178.4
- É¢½ð: 10
- ºì»¨: 4
- Ìû×Ó: 168
- ÔÚÏß: 538.6Сʱ
- ³æºÅ: 1028226
- ×¢²á: 2010-05-26
- רҵ: ÊýÖµÔ¤±¨ÓëÊýֵģÄâ
¡¾´ð°¸¡¿Ó¦Öú»ØÌû
¡ï ¡ï ¡ï ¡ï ¡ï ¡ï ¡ï ¡ï ¡ï ¡ï ¡ï ¡ï ¡ï ¡ï ¡ï ¡ï ¡ï ¡ï ¡ï ¡ï
¸Ðл²ÎÓ룬ӦÖúÖ¸Êý +1
zhs4276689: ½ð±Ò+20, ¡ï¡ï¡ï¡ï¡ï×î¼Ñ´ð°¸, ѹÁ¦ËðºÄµÄÕâ¸ö¹«Ê½Å¶£¬»¹ÕæÍüÁË¡£¡£¡£ 2012-10-17 05:06:45
¸Ðл²ÎÓ룬ӦÖúÖ¸Êý +1
zhs4276689: ½ð±Ò+20, ¡ï¡ï¡ï¡ï¡ï×î¼Ñ´ð°¸, ѹÁ¦ËðºÄµÄÕâ¸ö¹«Ê½Å¶£¬»¹ÕæÍüÁË¡£¡£¡£ 2012-10-17 05:06:45
|
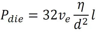
ve is the velocity of your melt, d is the diameter of your tube, l is the length of the tube, yita is the viscosity. empirical equation not very accurate. Picture1.jpg |
5Â¥2012-10-16 21:59:25
jessie_shu
гæ (³õÈëÎÄ̳)
- Ó¦Öú: 0 (Ó×¶ùÔ°)
- ½ð±Ò: 7
- Ìû×Ó: 6
- ÔÚÏß: 2.6Сʱ
- ³æºÅ: 1927546
- ×¢²á: 2012-08-06
- רҵ: °ëµ¼Ìå΢ÄÉ»úµçÆ÷¼þÓëϵͳ
6Â¥2015-07-20 12:09:26














»Ø¸´´ËÂ¥