| 查看: 408 | 回复: 2 | ||
lixiaoliang金虫 (小有名气)
|
[求助]
求助,最近测量一个晶体的磁性,三个反铁磁二价钴室温XT值为13.2???
|
|
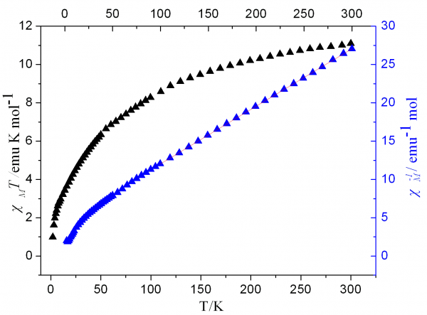
小弟测了一个晶体的磁性,但是数据处理之后,得到的室温XT值为 11.09 emu K mol-1,拟合求得的局里常数为13.2。 是按照三个二价钴离子来计算的,怎么能和理论值差这么多?有什么问题么? 拟合曲线及数据处理见下图! 磁性.png |
» 猜你喜欢
三无产品还有机会吗
已经有6人回复
垃圾破二本职称评审标准
已经有7人回复
投稿返修后收到这样的回复,还有希望吗
已经有7人回复
博士申请都是内定的吗?
已经有14人回复
谈谈两天一夜的“延安行”
已经有13人回复
氨基封端PDMS和HDI反应快速固化
已经有11人回复
之前让一硕士生水了7个发明专利,现在这7个获批发明专利的维护费可从哪儿支出哈?
已经有11人回复
论文投稿求助
已经有4人回复
Applied Surface Science 这个期刊。有哪位虫友投过的能把word模板发给我参考一下嘛
已经有3人回复
2楼2012-11-01 22:09:01
lixiaoliang
金虫 (小有名气)
- 应助: 0 (幼儿园)
- 金币: 382.8
- 散金: 36
- 帖子: 69
- 在线: 39.2小时
- 虫号: 1136034
- 注册: 2010-10-31
- 性别: GG
- 专业: 配位化学
3楼2012-11-02 09:08:25













回复此楼