| 查看: 669 | 回复: 6 | ||
sky060341004新虫 (小有名气)
|
[求助]
破乳问题求教
|
|
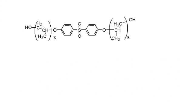
现在我有一种样品(乳白色液体),想除去里面的乳化剂,试过加甲醇,或者丙酮,或者离心。结果 都没有析出固体,还是那种半透明的乳白色液体,它的结构类似下图1,请问虫虫们,谁能提供一种有效的方法呢?谢谢了~· 1.png |
» 猜你喜欢
求助一下有机合成大神
已经有4人回复
拟解决的关键科学问题还要不要写
已经有8人回复
请教限项目规定
已经有5人回复
最失望的一年
已经有16人回复
存款400万可以在学校里躺平吗
已经有33人回复
求推荐英文EI期刊
已经有5人回复
26申博
已经有3人回复
基金委咋了?2026年的指南还没有出来?
已经有10人回复
基金申报
已经有6人回复
疑惑?
已经有5人回复
» 本主题相关价值贴推荐,对您同样有帮助:
关于油包水微乳液破乳的问题
已经有24人回复
关于乳化和破乳问题
已经有18人回复
关于破乳的问题
已经有19人回复
请教脂质体破乳问题
已经有23人回复
求助萃取过程的破乳方法
已经有19人回复
【求助】乳剂破乳的原因
已经有5人回复
【求助】破乳问题
已经有5人回复
【讨论】关于乳液破乳和不破乳的问题
已经有6人回复
【请教】微乳液破乳问题
已经有15人回复
【求助】破乳问题
已经有14人回复
wgx2009
至尊木虫 (著名写手)
- 应助: 2 (幼儿园)
- 金币: 12369.4
- 散金: 92
- 红花: 8
- 沙发: 38
- 帖子: 2964
- 在线: 504.2小时
- 虫号: 577542
- 注册: 2008-06-27
- 性别: GG
- 专业: 高分子合成化学
【答案】应助回帖
★ ★
感谢参与,应助指数 +1
sky060341004: 金币+2 2012-10-12 14:46:19
感谢参与,应助指数 +1
sky060341004: 金币+2 2012-10-12 14:46:19
| 试一下7-8%的盐酸吧,我们不好破乳的就用这个!! |
» 本帖已获得的红花(最新10朵)
2楼2012-10-12 09:36:15
xiaohongfeng
木虫 (正式写手)
- 应助: 55 (初中生)
- 金币: 3450.7
- 散金: 7
- 红花: 3
- 帖子: 419
- 在线: 324.8小时
- 虫号: 861617
- 注册: 2009-10-02
- 性别: GG
- 专业: 聚合物共混与复合材料

3楼2012-10-12 09:47:00
sky060341004
新虫 (小有名气)
- 应助: 1 (幼儿园)
- 金币: 3.5
- 散金: 15
- 红花: 1
- 帖子: 288
- 在线: 106.9小时
- 虫号: 1845106
- 注册: 2012-06-02
- 性别: GG
- 专业: 高分子物理与高分子物理化
4楼2012-10-12 10:49:08
sky060341004
新虫 (小有名气)
- 应助: 1 (幼儿园)
- 金币: 3.5
- 散金: 15
- 红花: 1
- 帖子: 288
- 在线: 106.9小时
- 虫号: 1845106
- 注册: 2012-06-02
- 性别: GG
- 专业: 高分子物理与高分子物理化
5楼2012-10-12 11:10:41
sky060341004
新虫 (小有名气)
- 应助: 1 (幼儿园)
- 金币: 3.5
- 散金: 15
- 红花: 1
- 帖子: 288
- 在线: 106.9小时
- 虫号: 1845106
- 注册: 2012-06-02
- 性别: GG
- 专业: 高分子物理与高分子物理化
6楼2012-10-18 15:39:42
wgx2009
至尊木虫 (著名写手)
- 应助: 2 (幼儿园)
- 金币: 12369.4
- 散金: 92
- 红花: 8
- 沙发: 38
- 帖子: 2964
- 在线: 504.2小时
- 虫号: 577542
- 注册: 2008-06-27
- 性别: GG
- 专业: 高分子合成化学
7楼2012-10-18 16:06:37













回复此楼
sky060341004