| ²é¿´: 629 | »Ø¸´: 3 | ||
jszh87ľ³æ (ÕýʽдÊÖ)
|
[ÇóÖú]
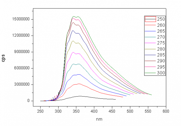
Ó«¹â²ÄÁÏ·ÖÎö,360nm×î´óÎüÊÕ
|
|
±¾ÈË×öÁËÒ»ÖÖ²ÄÁÏ,·¢ÏÖÆäÓÐÓ«¹âÐÔÖÊ,²âÁËÓ«¹â¹âÆ×,·¢ÏÖÔÚ360nmÖÐÓÐ×î´óµÄÎüÊÕ·å,ÇëÎÊÕâÖÖ²ÄÁÏÄÜÓÃ×ö¹â´ß»¯¼ÁÂð?ÕâÖÖ²ÄÁÏÄÜÓÃÔÚʲôÁìÓòÉÏ?×îºÃÊÇÆ«ÐÔÖÊ·½ÃæµÄ?лл´ó¼Ò! 0.png |
» ²ÂÄãϲ»¶
314Çóµ÷¼Á
ÒѾÓÐ8È˻ظ´
08¹¤¿Æ 320×Ü·Ö Çóµ÷¼Á
ÒѾÓÐ5È˻ظ´
085601ר˶£¬×Ü·Ö342Çóµ÷¼Á£¬µØÇø²»ÏÞ
ÒѾÓÐ5È˻ظ´
085600²ÄÁÏÓ뻯¹¤µ÷¼Á 324·Ö
ÒѾÓÐ4È˻ظ´
311Çóµ÷¼Á
ÒѾÓÐ6È˻ظ´
»¯¹¤Ñ§Ë¶306Çóµ÷¼Á
ÒѾÓÐ10È˻ظ´
286Çóµ÷¼Á
ÒѾÓÐ8È˻ظ´
²ÄÁÏÓ뻯¹¤Ò»Ö¾Ô¸Äϲý´óѧ327Çóµ÷¼ÁÍÆ¼ö
ÒѾÓÐ9È˻ظ´
311Çóµ÷¼Á
ÒѾÓÐ12È˻ظ´
271²ÄÁϹ¤³ÌÇóµ÷¼Á
ÒѾÓÐ3È˻ظ´
» ±¾Ö÷ÌâÏà¹ØÉ̼ÒÍÆ¼ö: (ÎÒÒ²ÒªÔÚÕâÀïÍÆ¹ã)
» ±¾Ö÷ÌâÏà¹Ø¼ÛÖµÌùÍÆ¼ö£¬¶ÔÄúͬÑùÓаïÖú:
ÇóÖúÔ×ÓÓ«¹â¼°Ô×ÓÎüÊÕÒDzÙ×÷˵Ã÷Êé
ÒѾÓÐ5È˻ظ´
Ó«¹â¹âÆ×ÖгöÏÖÁËÒ»°ëÓÚ¼¤·¢²¨³¤µÄ·¢Éä·å£¬400nm¼¤·¢£¬200nmÓз¢É䣬µ«ÓÖ²»ÊÇÉÏת»»
ÒѾÓÐ22È˻ظ´
ÔÚÏߵȹØÓÚ×ÏÍâÎüÊÕºÍÓ«¹â¼¤·¢²¨³¤µÄÎÊÌâ
ÒѾÓÐ12È˻ظ´
¡¾ÇóÖú/½»Á÷¡¿ÇëÎÊÄÄÀïÓÐ×ÏÍ⣨360nm¸½½ü£©¼¤·¢µÄ¼¤¹â¹²¾Û½¹Ó«¹âÏÔ΢¾µ£¿
ÒѾÓÐ13È˻ظ´
¡¾ÇóÖú¡¿960MCÓ«¹â·Ö¹â¹â¶È¼ÆÔÚ365nm¼¤·¢²¨³¤Ï·ÖÎöß²ßøÊ±·¢ÏÖË«ÕôˮҲ³ö·å
ÒѾÓÐ4È˻ظ´
¡¾ÌÖÂÛ¡¿²âÓÐÓ«¹âÎïÖʵÄ×ÏÍâ¿É¼ûÎüÊÕ¹âÆ×¶Ô±ÈÉ«ÃóÓÐʲôҪÇóÂð£¿
ÒѾÓÐ4È˻ظ´
¡¾½ðÊôº¬Á¿·ÖÎö¡¿Çó»¯Ñ§·ÖÎö£¬Ô×ÓÎüÊÕ£¬xÓ«¹âµÄ¼ì²â·¶Î§¼°Æ«²î
ÒѾÓÐ4È˻ظ´
¡¾ÇóÖú¡¿Ô×Ó·¢Éä¡¢Ô×ÓÎüÊÕ¡¢Ô×ÓÓ«¹âµÄÇø±ð
ÒѾÓÐ13È˻ظ´
¡¾Çë½Ì¡¿¼¤·¢²¨³¤ÔÚ300µ½400nmµÄÓ«¹â²ÄÁÏ
ÒѾÓÐ8È˻ظ´

jszh87
ľ³æ (ÕýʽдÊÖ)
- Ó¦Öú: 2 (Ó×¶ùÔ°)
- ½ð±Ò: 3470.2
- É¢½ð: 4
- Ìû×Ó: 557
- ÔÚÏß: 518Сʱ
- ³æºÅ: 1102623
- ×¢²á: 2010-09-18
- ÐÔ±ð: GG
- רҵ: ÎÞ»ú²ÄÁÏ»¯Ñ§

2Â¥2012-10-11 08:02:58
¡ï ¡ï ¡ï
¸Ðл²ÎÓ룬ӦÖúÖ¸Êý +1
chemlh: ½ð±Ò+1, »¶Ó»ý¼«½»Á÷ 2012-10-12 19:28:51
jszh87: ½ð±Ò+2, ¡ï¡ï¡ï¡ï¡ï×î¼Ñ´ð°¸ 2012-10-12 20:09:26
¸Ðл²ÎÓ룬ӦÖúÖ¸Êý +1
chemlh: ½ð±Ò+1, »¶Ó»ý¼«½»Á÷ 2012-10-12 19:28:51
jszh87: ½ð±Ò+2, ¡ï¡ï¡ï¡ï¡ï×î¼Ñ´ð°¸ 2012-10-12 20:09:26
3Â¥2012-10-12 18:24:21
jszh87
ľ³æ (ÕýʽдÊÖ)
- Ó¦Öú: 2 (Ó×¶ùÔ°)
- ½ð±Ò: 3470.2
- É¢½ð: 4
- Ìû×Ó: 557
- ÔÚÏß: 518Сʱ
- ³æºÅ: 1102623
- ×¢²á: 2010-09-18
- ÐÔ±ð: GG
- רҵ: ÎÞ»ú²ÄÁÏ»¯Ñ§

4Â¥2012-10-12 20:12:32













»Ø¸´´ËÂ¥
