24小时热门版块排行榜    

北京石油化工学院2026年研究生招生接收调剂公告
查看: 459  |  回复: 0

wuhongzhuo

实习版主

优秀!!有木有!!!优秀!!有木有!!!优秀!!有木有!!!优秀!!有木有!!!

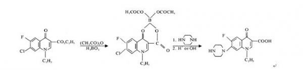
[求助] 诺氟沙星

合成一个药物分好多步,每一步的中间体的化学性质怎么查?
      诺氟沙星经典路线
     
机理是什么   ?    实验时要注意什麽?
回复此楼

» 猜你喜欢

已阅   回复此楼   关注TA 给TA发消息 送TA红花 TA的回帖
相关版块跳转 我要订阅楼主 wuhongzhuo 的主题更新
最具人气热帖推荐 [查看全部] 作者 回/看 最后发表
[考研] 332求调剂 +7 Lyy930824@ 2026-03-29 7/350 2026-04-01 17:31 by oooqiao
[考研] 0817化工学硕调剂 +8 努力上岸中! 2026-03-31 8/400 2026-04-01 16:55 by oooqiao
[考研] 085600,材料与化工321分调剂 +5 大馋小子 2026-03-27 7/350 2026-04-01 15:13 by oooqiao
[考研] 311求调剂 +10 李芷新1 2026-03-31 10/500 2026-04-01 14:38 by chenqifeng666
[考研] 材料专硕322分 +9 哈哈哈吼吼吼哈 2026-04-01 9/450 2026-04-01 14:30 by 无际的草原
[考研] 285求调剂 +7 AZMK 2026-04-01 7/350 2026-04-01 13:53 by 糖加冰
[考研] 070300化学279求调剂 +12 哈哈哈^_^ 2026-03-31 14/700 2026-04-01 11:11 by chemdavid
[考研] 生物学296求调剂 +10 汤圆包 2026-03-29 14/700 2026-04-01 10:44 by 求调剂zz
[考研] 土木304求调剂 +5 顶级擦擦 2026-03-31 5/250 2026-04-01 08:15 by fdcxdystjk¥
[考研] 物理学调剂 +4 小羊36 2026-03-30 4/200 2026-03-31 16:16 by lishahe
[考研] 272求调剂,接受跨专业调剂! +3 闲鱼卢 2026-03-31 3/150 2026-03-31 13:00 by 替代品000
[考博] 材料专业申博 +5 杜雨婷dyt 2026-03-29 5/250 2026-03-31 11:19 by oooqiao
[考研] 一志愿北京化工大学材料与化工(085600)296求调剂 +25 稻妻小编 2026-03-26 25/1250 2026-03-30 20:11 by 滴滴上岸呀
[考研] 322求调剂 +10 宋明欣 2026-03-27 10/500 2026-03-30 18:47 by 544594351
[考研] 材料与化工304求B区调剂 +4 邱gl 2026-03-26 7/350 2026-03-30 08:39 by 探123
[考研] 275求调剂 +15 Micky11223 2026-03-25 20/1000 2026-03-29 20:44 by 唐沐儿
[考研] 求调剂 +6 芦lty 2026-03-25 7/350 2026-03-28 13:13 by 唐沐儿
[考研] 材料求调剂一志愿哈工大324 +7 闫旭东 2026-03-28 9/450 2026-03-28 08:51 by Xu de nuo
[考研] 308求调剂 +7 墨墨漠 2026-03-27 7/350 2026-03-28 07:43 by 热情沙漠
[考研] 机械学硕310分,数一英一,一志愿211本科双非找调剂信息 +3 @357 2026-03-25 3/150 2026-03-26 16:34 by by.MENG
信息提示
请填处理意见