| ²é¿´: 686 | »Ø¸´: 3 | |||
mercury1204ľ³æ (ÕýʽдÊÖ)
|
[ÇóÖú]
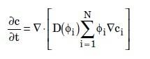
Çó½â¹«Ê½
|
ѧϰÖÐÓöµ½Õâ¸ö¼ÆË㹫ʽ²»»áÇó½â£¬Çó¸ßÊÖ¸øÓè½âÊÍ¡£ ллÁ˺ÃÏñÓû¯Ñ§Ê½Ìݶȷ¨£¬µ«ÊÇÎÒÕÒ²»µ½Õâ¸ö¸ÅÄ¸Ð¾õ×Ô¼ºÌý´íÁË£¬»¹Çë¸ßÊÖÃÇÖ¸µãһϣ¬Ê®·Ö¸Ð¼¤ δÃüÃû.jpg |
» ²ÂÄãϲ»¶
²ÄÁÏÓ뻯¹¤¿¼Ñе÷¼Á
ÒѾÓÐ13È˻ظ´
Ò»Ö¾Ô¸211ԺУ 344·Ö ¶«±±Å©Òµ´óѧÉúÎïѧѧ˶£¬Çóµ÷¼Á
ÒѾÓÐ5È˻ظ´
Ò»Ö¾Ô¸±±¾©»¯¹¤´óѧ²ÄÁÏÓ뻯¹¤ 264·Ö¸÷¿Æ¹ýAÇø¹ú¼ÒÏß
ÒѾÓÐ7È˻ظ´
275Çóµ÷¼Á
ÒѾÓÐ12È˻ظ´
²ÄÁÏÓ뻯¹¤085600£¬×Ü·Ö304£¬±¾¿ÆÓÐÁ½Æªsci²ÎÓ룬Çóµ÷¼Á
ÒѾÓÐ7È˻ظ´
0856²ÄÁÏ»¯¹¤µ÷¼Á ×Ü·Ö330
ÒѾÓÐ4È˻ظ´
308Çóµ÷¼Á
ÒѾÓÐ6È˻ظ´
Ò»Ö¾Ô¸ÉÂʦ´óÉúÎïѧ071000£¬298·Ö£¬Çóµ÷¼Á
ÒѾÓÐ5È˻ظ´
0856²ÄÁÏר˶353Çóµ÷¼Á
ÒѾÓÐ8È˻ظ´
Äϲý´óѧ²ÄÁÏר˶311·ÖÇóµ÷¼Á
ÒѾÓÐ9È˻ظ´
Â¥Ö÷1988
ľ³æ (ÕýʽдÊÖ)
- Ó¦Öú: 13 (СѧÉú)
- ½ð±Ò: 2192.1
- É¢½ð: 5
- ºì»¨: 19
- Ìû×Ó: 458
- ÔÚÏß: 188.1Сʱ
- ³æºÅ: 2148449
- ×¢²á: 2012-11-26
- ÐÔ±ð: GG
- רҵ: ½ðÊô²ÄÁϱíÃæ¿ÆÑ§Ó빤³Ì
¡¾´ð°¸¡¿Ó¦Öú»ØÌû
| »¯Ñ§Î»ÌݶȰɡ£¡£¡£Õâ¸ö¹«Ê½Ó¦¸ÃÊÇÀ©É¢µÄ°É¡£¡£µ«ÊÇδ½Ó´¥¹ý¡£¡£²»ºÃÒâ˼°ï²»ÉÏæ |
» ±¾ÌûÒÑ»ñµÃµÄºì»¨£¨×îÐÂ10¶ä£©
2Â¥2012-12-31 14:58:16
mercury1204
ľ³æ (ÕýʽдÊÖ)
- Ó¦Öú: 0 (Ó×¶ùÔ°)
- ½ð±Ò: 14241.3
- ºì»¨: 1
- Ìû×Ó: 604
- ÔÚÏß: 33.4Сʱ
- ³æºÅ: 1167279
- ×¢²á: 2010-12-11
- רҵ: ½ðÊô²ÄÁϵÄÄý¹ÌÓë½á¾§Ñ§
3Â¥2013-01-02 13:00:00
racoon01
ר¼Ò¹ËÎÊ (ÖøÃûдÊÖ)
-

ר¼Ò¾Ñé: +213 - ÊýѧEPI: 3
- Ó¦Öú: 212 (´óѧÉú)
- ½ð±Ò: 24355.2
- É¢½ð: 27
- ºì»¨: 71
- Ìû×Ó: 2438
- ÔÚÏß: 643.2Сʱ
- ³æºÅ: 1282452
- ×¢²á: 2011-05-01
- רҵ: Öйú½ü´úÊ·¡¢ÏÖ´úÊ·
- ¹ÜϽ: ÎïÀí

4Â¥2013-01-02 14:14:02














ллÁË
»Ø¸´´ËÂ¥
mercury1204
6