²é¿´: 669  |  »Ø¸´: 3

ÏæÔÆ×Ï

Òø³æ (³õÈëÎÄ̳)

[ÇóÖú] Õâ¸öÎïÖʽÐʲô°¡£¿Óнṹʽ

ÈçÌ⣬ÇëÎÊÕâ2¸ö¶«Î÷ÓÐÃû×ÖÂ𣿣¿

2.jpg



δÃüÃû.jpg
»Ø¸´´ËÂ¥

» ²ÂÄãϲ»¶

» ±¾Ö÷ÌâÏà¹Ø¼ÛÖµÌùÍÆ¼ö£¬¶ÔÄúͬÑùÓаïÖú:

ÒÑÔÄ   »Ø¸´´ËÂ¥   ¹Ø×¢TA ¸øTA·¢ÏûÏ¢ ËÍTAºì»¨ TAµÄ»ØÌû

ZBPJJ529810

ÖÁ×ðľ³æ (ÖªÃû×÷¼Ò)

Öý½£ÌÃÌÃÖ÷


¡¾´ð°¸¡¿Ó¦Öú»ØÌû

¡ï ¡ï
¸Ðл²ÎÓ룬ӦÖúÖ¸Êý +1
ÏæÔÆ×Ï: ½ð±Ò+1, ¡ïÓаïÖú, лл 2012-10-07 13:43:44
fds329: ½ð±Ò+1, ¸Ðл»ØÌû 2012-10-17 08:04:42
ÄãÓÃchemfind²éѯһ¹þ¿´¿´¡£

[ ·¢×ÔÊÖ»ú°æ http://muchong.com/3g ]
2Â¥2012-10-04 14:28:21
ÒÑÔÄ   »Ø¸´´ËÂ¥   ¹Ø×¢TA ¸øTA·¢ÏûÏ¢ ËÍTAºì»¨ TAµÄ»ØÌû

kingning

Òø³æ (ÕýʽдÊÖ)

¡¾´ð°¸¡¿Ó¦Öú»ØÌû

¡ï ¡ï ¡ï
¸Ðл²ÎÓ룬ӦÖúÖ¸Êý +1
ÏæÔÆ×Ï: ½ð±Ò+1, ¡ïÓаïÖú, ÓÐÁ½¸öÎïÖʰ¡£¬ÕâÊÇÉÏÒ»¸ö»¹ÊÇÏÂÒ»¸öµÄ£¿ 2012-10-07 13:45:04
fds329: ½ð±Ò+2, ¸ÐлӦÖú¡£ÐÁ¿àÁËO(¡É_¡É)O 2012-10-17 08:04:49
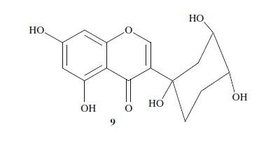
3-(5,6-dihydroxycyclohex-1-enyl)-7-hydroxy-4H-chromen-4-one
BEYOURPERSONALBEST!
3Â¥2012-10-04 18:15:53
ÒÑÔÄ   »Ø¸´´ËÂ¥   ¹Ø×¢TA ¸øTA·¢ÏûÏ¢ ËÍTAºì»¨ TAµÄ»ØÌû

misovality

Òø³æ (СÓÐÃûÆø)

¡¾´ð°¸¡¿Ó¦Öú»ØÌû

¡ï ¡ï
¸Ðл²ÎÓ룬ӦÖúÖ¸Êý +1
ÏæÔÆ×Ï: ½ð±Ò+1, ¡ïÓаïÖú, ÊDZðÈ˵ÄÎÄÕÂÉϵģ¬ÒªÐ´×ÛÊö¡£¡£ÐèÒªÒýÓ㬸ÃÔõÃ´Ð´ÄØ£¿ 2012-10-07 13:46:08
fds329: ½ð±Ò+1, ¸Ðл»ØÌû 2012-10-17 08:04:56
ÄãÊÇÒªÃüÃû»¹ÊÇÒªËûÃǵÄË×Ãû»òÕßʲôµÄ
Ë×ÃûÓ¦¸ÃûÓÐ ¿´ÆðÀ´ºÃİÉú
4Â¥2012-10-06 20:36:34
ÒÑÔÄ   »Ø¸´´ËÂ¥   ¹Ø×¢TA ¸øTA·¢ÏûÏ¢ ËÍTAºì»¨ TAµÄ»ØÌû
Ïà¹Ø°æ¿éÌø×ª ÎÒÒª¶©ÔÄÂ¥Ö÷ ÏæÔÆ×Ï µÄÖ÷Ìâ¸üÐÂ
×î¾ßÈËÆøÈÈÌûÍÆ¼ö [²é¿´È«²¿] ×÷Õß »Ø/¿´ ×îºó·¢±í
[¿¼ÑÐ] 326Çóµ÷¼Á +4 ŵ±´¶û»¯Ñ§½±êéê 2026-03-15 7/350 2026-03-16 17:11 by ŵ±´¶û»¯Ñ§½±êéê
[¿¼ÑÐ] 0703»¯Ñ§µ÷¼Á £¬Áù¼¶Òѹý£¬ÓпÆÑо­Àú +7 êØÎõÙâ 2026-03-15 7/350 2026-03-16 16:34 by houyaoxu
[¿¼ÑÐ] 070303 ×Ü·Ö349Çóµ÷¼Á +3 LJY9966 2026-03-15 5/250 2026-03-16 14:24 by xwxstudy
[¿¼ÑÐ] 277²ÄÁÏ¿ÆÑ§Ó빤³Ì080500Çóµ÷¼Á +3 ×ÔÓɼå±ý¹û×Ó 2026-03-16 3/150 2026-03-16 14:10 by ÔËÆøyunqi
[¿¼ÑÐ] 0703 ÎïÀí»¯Ñ§µ÷¼Á +3 ÎÒ¿ÉÒÔÉϰ¶µÄ¶Ô 2026-03-13 5/250 2026-03-16 10:50 by ÎÒ¿ÉÒÔÉϰ¶µÄ¶ÔÂ
[¿¼ÑÐ] Öпƴó²ÄÁÏÓ뻯¹¤319Çóµ÷¼Á +3 ÃÏöβÄÁÏ 2026-03-14 3/150 2026-03-14 20:10 by ms629
[¿¼ÑÐ] ¸´ÊÔµ÷¼Á +3 ºôºô£¿~+123456 2026-03-14 3/150 2026-03-14 16:53 by WTUChen
[¿¼ÑÐ] 267Ò»Ö¾Ô¸ÄϾ©¹¤Òµ´óѧ0817»¯¹¤Çóµ÷¼Á +5 SUICHILD 2026-03-12 5/250 2026-03-14 14:53 by jean5056
[¿¼ÑÐ] »·¾³µ÷¼Á +6 Ïþ¿´Ììĺ¿´ÔÆ 2026-03-09 6/300 2026-03-14 01:16 by JourneyLucky
[¿¼ÑÐ] 26¿¼Ñе÷¼Á +3 ying123. 2026-03-10 3/150 2026-03-14 00:18 by JourneyLucky
[¿¼ÑÐ] 279Çóµ÷¼Á +3 ×¥×ÅÐÇÐǵÄÅ®º¢ 2026-03-10 3/150 2026-03-13 23:47 by userper
[¿¼ÑÐ] 0805£¬333Çóµ÷¼Á +3 112253525 2026-03-10 3/150 2026-03-13 23:42 by JourneyLucky
[¿¼ÑÐ] 341Çóµ÷¼Á +3 ·¬ÇÑÍ·--- 2026-03-10 3/150 2026-03-13 23:07 by JourneyLucky
[¿¼ÑÐ] 337Ò»Ö¾Ô¸»ªÄÏÀí¹¤0805²ÄÁÏÇóµ÷¼Á +7 mysdl 2026-03-11 9/450 2026-03-13 22:43 by JourneyLucky
[¿¼ÑÐ] 26µ÷¼Á/²ÄÁÏ/Ó¢Ò»Êý¶þ/×Ü·Ö289/ÒѹýAÇøÏß +6 ²½´¨¿á×Ï123 2026-03-13 6/300 2026-03-13 21:59 by ÐÇ¿ÕÐÇÔÂ
[¿¼ÑÐ] ¡¾0856¡¿»¯Ñ§¹¤³Ì£¨085602£©313 ·Ö£¬±¾¿ÆÑ§¿ÆÆÀ¹ÀAÀàԺУ»¯Ñ§¹¤³ÌÓ빤ÒÕ£¬³ÏÇóµ÷¼Á +7 СÁõ¿ì¿ìÉϰ¶ 2026-03-11 7/350 2026-03-13 16:06 by ruiyingmiao
[¿¼ÑÐ] 307Çóµ÷¼Á +5 ³¬¼¶ÒÁ°º´óÍõ 2026-03-12 5/250 2026-03-13 15:56 by °ô°ôÇòÊÖ
[¿¼ÑÐ] 290Çóµ÷¼Á +7 ADT 2026-03-12 7/350 2026-03-13 15:17 by JourneyLucky
[¿¼ÑÐ] 0817»¯Ñ§¹¤³ÌÓë¼¼Êõ¿¼ÑÐ312·Öµ÷¼Á +3 T123 tt 2026-03-12 3/150 2026-03-13 10:49 by houyaoxu
[¿¼ÑÐ] »¯¹¤Ñ§Ë¶306Çóµ÷¼Á +9 42838695 2026-03-12 9/450 2026-03-13 10:16 by houyaoxu
ÐÅÏ¢Ìáʾ
ÇëÌî´¦ÀíÒâ¼û