| 查看: 270 | 回复: 1 | ||
mafeng0907捐助贵宾 (初入文坛)
|
[求助]
自定义输运方程的非稳态项(自定义输运方程标准形式)
|
|
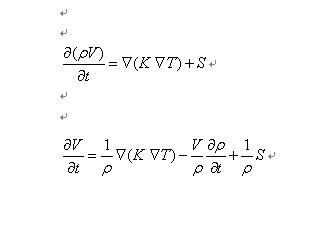
若选计算区域内水的体积V作为自定义标量,用质量守恒推导方程,那么编写程序时,非稳态项是水的体积对时间的变化,还是水的密度与体积的积对时间的变化呢? )D809VN%ED275}3D4}[]TVY.jpg |
» 猜你喜欢
表哥与省会女结婚,父母去帮带孩子被省会女气回家生重病了
已经有9人回复
AI 太可怕了,写基金时,提出想法,直接生成的文字比自己想得深远,还有科学性
已经有10人回复
同年申请2项不同项目,第1个项目里不写第2个项目的信息,可以吗
已经有10人回复
天津大学招2026.09的博士生,欢迎大家推荐交流(博导是本人)
已经有10人回复
依托企业入选了国家启明计划青年人才。有无高校可以引进的。
已经有11人回复
依托企业入选了国家启明计划青年人才。有无高校可以引进的。
已经有11人回复
» 本主题相关价值贴推荐,对您同样有帮助:
非稳态计算UDF自定义时间步长
已经有13人回复
一维平板非稳态导热显式格式离散方程组
已经有4人回复
【书籍】《统计与自适应信号处理》D.G.Manolakis 著
已经有14人回复
★ ★ ★ ★ ★ ★ ★ ★ ★ ★ ★
感谢参与,应助指数 +1
mafeng0907: 金币+10, ★★★很有帮助 2012-10-03 15:49:03
xiegangmai: 金币+1, 专家考核, 谢谢应助 2012-10-05 20:51:41
感谢参与,应助指数 +1
mafeng0907: 金币+10, ★★★很有帮助 2012-10-03 15:49:03
xiegangmai: 金币+1, 专家考核, 谢谢应助 2012-10-05 20:51:41
2楼2012-10-02 13:44:55













回复此楼