| 查看: 237 | 回复: 1 | ||
zhz3011627木虫 (小有名气)
|
[求助]
高斯白噪音
|
|
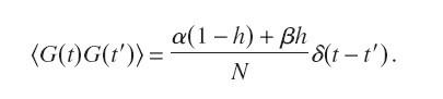
请教一下,这个关于高斯白噪音的表达式是什么意思?或者还有其他的表达方式吗?求解。。。谢谢。。。。 gaosi.jpg [ Last edited by zhz3011627 on 2012-9-25 at 17:33 ] |
» 猜你喜欢
新西兰Robinson研究所招收全奖PhD
已经有0人回复
石墨烯转移--二氧化硅衬底石墨烯
已经有0人回复
物理学I论文润色/翻译怎么收费?
已经有76人回复
笼目材料中量子自旋液体基态的证据
已经有0人回复
数学教学论硕士可以读数学物理博士吗?
已经有0人回复
德国亥姆霍兹Hereon中心汉堡分部招镁合金腐蚀裂变SCC课题方向2026公派博士生
已经有4人回复
澳门大学 应用物理及材料工程研究院 潘晖教授课题组诚招博士后
已经有11人回复
求助NH4V4O10晶体的CIF文件
已经有0人回复
英国全奖博士招聘-深度学习与量子物理
已经有0人回复
间接带隙半导体有效质量求助
已经有1人回复
投稿chemical physical letters不送审?
已经有2人回复
2楼2012-09-26 17:10:21













回复此楼