| 查看: 460 | 回复: 0 | ||
[交流]
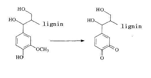
木质素的改性---酚羟基和甲氧基转换成醌类
|
» 抢金币啦!回帖就可以得到:
华北理工大学 矿业工程 研究生调剂
+3/142
五邑大学(江门-利物浦公共卫生研究所)招收药学、生物医药专业调剂生
+1/124
东北石油大学PCAFM实验室研究生调剂招生(化学化工、材料等相关专业)
+1/84
欢迎调剂到赣南师范大学智能制造与未来能源学院
+2/46
聊城大学材料科学与工程学院光功能高分子材料课题组招收调剂研究生
+1/45
上海应用技术大学化工与能源催化方向招收考研调剂生
+1/45
河北大学无机化学专业招收调剂生
+1/41
上海交大化院邓楠楠课题组招收26年秋季入学申请考核博士
+1/39
海南医科大学(海南省医学科学院)李东伟课题组招聘研究助理
+2/38
河南工业大学化学化工学院 2026 年硕士调剂正在进行!
+1/35
南京信息工程大学 化材院接受调剂研究生
+1/34
诚聘博士后 | 26年华东师大海优课题组——多相催化方向:CO₂资源化与废塑料转化
+1/31
丽水学院,材料与化工专业
+1/9
广东工业大学机电工程学院高伟教授招收博士生
+1/8
【调剂上岸】985联合培养!1007/1055/08/07等,不限专业,想联培的速来!
+1/8
山西师范大学2026年化学硕士点招收调剂生
+1/7
河北大学分析化学招收多名调剂考生
+1/7
齐齐哈尔大学李莉课题组诚招2026级考研调剂生(学硕和专硕)
+1/4
大连工业杰青、长江团队-生物质材料方向招收2026级博士生
+1/3
齐齐哈尔大学化学与化学工程学院招收专硕调剂
+1/1














回复此楼