| 查看: 1505 | 回复: 9 | ||
[求助]
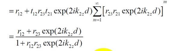
求助:这个公式是怎么推导出来的
|
||
|
|
||
whyhow铁杆木虫 (著名写手)
带你飞翔
|
||
![]() |
||
|
2楼2012-09-25 10:10:57
|
|
|
|
3楼2012-09-26 07:43:21
|
|
|
lcs199771银虫 (正式写手)
|
||
![]() |
||
|
4楼2012-09-26 08:58:37
|
|
|
|
5楼2012-09-26 15:03:46
|
|
|
hwzxaww木虫 (正式写手)
|
||
![]() |
||
|
6楼2012-09-28 07:43:15
|
|
|
|
7楼2012-09-28 08:07:10
|
|
|
bnuliuqing禁言 (著名写手) |
★ ★ ★ ★ ★
感谢参与,应助指数 +1 gdqslgk: 金币+5, ★★★很有帮助 2012-10-05 10:17:26
|
|
|
8楼2012-09-28 09:40:20
|
|
|
|
9楼2012-10-03 09:10:41
|
|
|
bnuliuqing禁言 (著名写手) |
★ ★ ★ ★ ★
gdqslgk: 金币+5, ★★★很有帮助 2012-10-05 10:17:36
|
|
|
10楼2012-10-03 11:33:39
|
|














回复此楼

10