| 查看: 342 | 回复: 1 | ||
jc_168木虫 (正式写手)
|
[求助]
在掺杂光纤中对于横向模式分布的处理
|
|
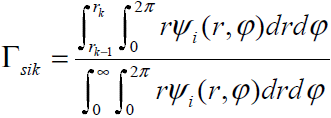
在单模的EDFA或者是光纤激光器模型计算中,overlap factor,即所谓的重合因子或填充率对于特定的波长和模式为一常数。 但是在多模光纤中,由于模式分布的空间特性,该值需要利用多层法来计算。 计算式如下: 我的问题是,在利用多层法计算时,如何考虑方位角影响问题? 谢谢。 [ Last edited by jc_168 on 2012-9-23 at 01:03 ] |
» 猜你喜欢
312求调剂
已经有4人回复
一志愿0817化学工程与技术,求调剂
已经有4人回复
材料调剂
已经有7人回复
302求调剂一志愿华中师范大学
已经有7人回复
071000生物学调剂
已经有7人回复
一志愿安徽大学0817化学工程与技术,求调剂
已经有4人回复
326求调剂
已经有5人回复
材料专硕322分
已经有10人回复
309求调剂
已经有10人回复
考研调剂
已经有5人回复

2楼2012-09-23 20:51:39














回复此楼