版块导航
正在加载中...
客户端APP下载
登录
注册
帖子
帖子
用户
本版
应《网络安全法》要求,自2017年10月1日起,未进行实名认证将不得使用互联网跟帖服务。为保障您的帐号能够正常使用,请尽快对帐号进行手机号验证,感谢您的理解与支持!
24小时热门版块排行榜
>
论坛更新日志
(2741)
>
虫友互识
(273)
>
文献求助
(158)
>
导师招生
(151)
>
硕博家园
(78)
>
考博
(69)
>
休闲灌水
(66)
>
博后之家
(53)
>
仿真模拟
(36)
>
基金申请
(36)
>
招聘信息布告栏
(31)
>
论文投稿
(30)
>
攻关文献(高奖励)
(28)
>
找工作
(15)
>
教师之家
(14)
>
考研
(14)
小木虫论坛-学术科研互动平台
»
化学化工区
»
无机/物化
»
物理化学
»
怎么求ΔHm啊?
8
1/1
返回列表
查看: 3175 | 回复: 7
只看楼主
@他人
存档
新回复提醒
(忽略)
收藏
在APP中查看
本帖产生 1 个 ICEPI ,点击这里进行查看
Andy-Luo
铜虫
(小有名气)
应助: 0
(幼儿园)
金币: 505.5
散金: 1
帖子: 104
在线: 302小时
虫号: 1197811
注册: 2011-01-29
专业: 环境分析化学
[
求助
]
怎么求ΔHm啊?
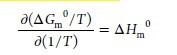
已知其中T:298.15, 303.15, 308.15K; ΔG: -26.31, -26.93, -27.93
,怎么求下面方程中的ΔHm啊?
公式.jpg
回复此楼
» 猜你喜欢
湖南工业大学周贵寅组招生物医学工程(学硕07、08都行)、生物与医药(专硕08)硕士生
已经有0人回复
湖南工业大学周贵寅组招生物医学工程(学硕07、08都行)和生物与医药(专硕08)硕士生
已经有0人回复
有机高分子材料论文润色/翻译怎么收费?
已经有153人回复
考研求调剂
已经有0人回复
2026年中南民族大学化学与材料科学学院调剂公告
已经有40人回复
武汉纺织大学招生物材料、化学、高分子相关专业硕士生
已经有0人回复
武汉纺织大学招生物材料、化学、高分子相关专业硕士生-另有少量士兵计划可咨询
已经有0人回复
[武汉纺织大学]材料学院[姜伟团队名称]课题组-2026年硕士研究生调剂信息
已经有0人回复
中国科学院·过程工程研究所·招聘海内外高层次人才---过程所“百人计划”
已经有0人回复
中国科学院·过程工程研究所·招聘海内外高层次人才---过程所“百人计划”
已经有5人回复
2026考博自荐
已经有4人回复
» 本主题相关价值贴推荐,对您同样有帮助:
【求助】电子态1Δg,1∑+g,2p等怎么定义的,
已经有8人回复
【求助】在TA软件中计算结晶热焓ΔHc和熔融热焓ΔHm
已经有3人回复
【求助】请教ATRP活性聚合的催化剂溶解性(CuBr/HMTETA)
已经有7人回复
1楼
2012-09-20 16:11:18
已阅
回复此楼
关注TA
给TA发消息
送TA红花
TA的回帖
回帖置顶 ( 共有1个 )
xiaoshuchong
金虫
(正式写手)
ICEPI: 15
应助: 60
(初中生)
金币: 1445
散金: 9
红花: 1
帖子: 379
在线: 101.8小时
虫号: 465831
注册: 2007-11-23
专业: 生化分析及生物传感
【答案】应助回帖
★ ★ ★ ★ ★ ★ ★ ★ ★ ★ ★ ★ ★ ★ ★ ★ ★
Andy-Luo: 金币+15,
★
有帮助, 貌似是对的,但是我算出来的ΔHm是正的,但预想的是负的,反应使焓驱动反应
2012-09-21 08:41:19
fds329: 金币+2, ICEPI+1, 感谢应助。辛苦了O(∩_∩)O
2012-09-30 08:10:45
引用回帖:
6楼
:
Originally posted by
xiaoshuchong
at 2012-09-20 23:25:05
也就是ΔG(m,T2)/T2 - ΔG(m,T1) /T1 = ΔHm
这是讨论温度对化学平衡影响的常用公式...
然后,任选两组数据代入即可。三组数据,两两相组有三种组合,每一组都可求得一个ΔHm,然后取平均值更好。
赞
一下
回复此楼
7楼
2012-09-20 23:34:41
已阅
回复此楼
关注TA
给TA发消息
送TA红花
TA的回帖
普通回帖
Andy-Luo
铜虫
(小有名气)
应助: 0
(幼儿园)
金币: 505.5
散金: 1
帖子: 104
在线: 302小时
虫号: 1197811
注册: 2011-01-29
专业: 环境分析化学
XDJM们帮忙看下该怎么解咯,论文急用,数据等着处理!!!
赞
一下
回复此楼
2楼
2012-09-20 18:43:27
已阅
回复此楼
关注TA
给TA发消息
送TA红花
TA的回帖
en_yxy1866
新虫
(初入文坛)
应助: 1
(幼儿园)
金币: 1
帖子: 29
在线: 92.6小时
虫号: 994051
注册: 2010-04-11
【答案】应助回帖
★ ★ ★ ★ ★ ★ ★ ★ ★ ★ ★ ★ ★ ★ ★ ★ ★ ★ ★ ★ ★ ★
感谢参与,应助指数 +1
Andy-Luo: 金币+20,
★
有帮助, 请问要怎么拟合呀?
2012-09-20 20:41:08
fds329: 金币+2, 感谢应助。辛苦了O(∩_∩)O
2012-09-30 08:10:17
可以试试先用matlab将ΔG拟合成1/T的关系,然后再求导看看行不行
赞
一下
回复此楼
3楼
2012-09-20 19:13:59
已阅
回复此楼
关注TA
给TA发消息
送TA红花
TA的回帖
Andy-Luo
铜虫
(小有名气)
应助: 0
(幼儿园)
金币: 505.5
散金: 1
帖子: 104
在线: 302小时
虫号: 1197811
注册: 2011-01-29
专业: 环境分析化学
引用回帖:
3楼
:
Originally posted by
en_yxy1866
at 2012-09-20 19:13:59
可以试试先用matlab将ΔG拟合成1/T的关系,然后再求导看看行不行
怎么用matlab拟合呀?
赞
一下
回复此楼
4楼
2012-09-20 19:34:08
已阅
回复此楼
关注TA
给TA发消息
送TA红花
TA的回帖
xiaoshuchong
金虫
(正式写手)
ICEPI: 15
应助: 60
(初中生)
金币: 1445
散金: 9
红花: 1
帖子: 379
在线: 101.8小时
虫号: 465831
注册: 2007-11-23
专业: 生化分析及生物传感
【答案】应助回帖
★ ★
感谢参与,应助指数 +1
fds329: 金币+2, 感谢应助。辛苦了O(∩_∩)O
2012-09-30 08:10:26
把等式左边的分母移到等式右边,把ΔHm看做常数,然后两边从T1到T2积分就可以了
赞
一下
回复此楼
5楼
2012-09-20 23:03:55
已阅
回复此楼
关注TA
给TA发消息
送TA红花
TA的回帖
xiaoshuchong
金虫
(正式写手)
ICEPI: 15
应助: 60
(初中生)
金币: 1445
散金: 9
红花: 1
帖子: 379
在线: 101.8小时
虫号: 465831
注册: 2007-11-23
专业: 生化分析及生物传感
【答案】应助回帖
★ ★
fds329: 金币+2, 感谢应助。辛苦了O(∩_∩)O
2012-09-30 08:10:33
引用回帖:
5楼
:
Originally posted by
xiaoshuchong
at 2012-09-20 23:03:55
把等式左边的分母移到等式右边,把ΔHm看做常数,然后两边从T1到T2积分就可以了
也就是ΔG(m,T2)/T2 - ΔG(m,T1) /T1 = ΔHm [(1/T2) - (1/T1)]
这是讨论温度对化学平衡影响的常用公式
赞
一下
回复此楼
6楼
2012-09-20 23:25:05
已阅
回复此楼
关注TA
给TA发消息
送TA红花
TA的回帖
hisensecao
8楼
2012-09-21 00:08:41
已阅
回复此楼
关注TA
给TA发消息
送TA红花
TA的回帖
相关版块跳转
有机交流
有机资源
高分子
无机/物化
分析
催化
工艺技术
化工设备
石油化工
精细化工
电化学
环境
SciFinder/Reaxys
我要订阅楼主
Andy-Luo
的主题更新
8
1/1
返回列表
如果回帖内容含有宣传信息,请如实选中。否则帐号将被全论坛禁言
普通表情
龙
兔
虎
猫
百度网盘
|
360云盘
|
千易网盘
|
华为网盘
在新窗口页面中打开自己喜欢的网盘网站,将文件上传后,然后将下载链接复制到帖子内容中就可以了。
信息提示
关闭
请填处理意见
关闭
确定