| ²é¿´: 4013 | »Ø¸´: 3 | |||
405464701ľ³æ (ÕýʽдÊÖ)
|
[ÇóÖú]
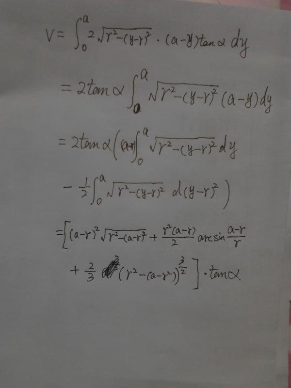
ÇóÇãбԲÖùÌåÀïÃæÒºÌåµÄÌå»ýÄѵ¹ÎÒÁË£¬Çó½ÌÊýѧ´ïÈË£¡
|
||
|
|
|||
newton19722005½ð³æ (СÓÐÃûÆø)
|
|||
|
2Â¥2012-09-21 12:24:22
|
|
||
wurongjunר¼Ò¹ËÎÊ (Ö°Òµ×÷¼Ò)
|
|||
![]() |
|||
|
3Â¥2012-10-10 13:04:35
|
|
||
hfwlxÌú¸Ëľ³æ (ÖøÃûдÊÖ)
|
|||
|
4Â¥2020-07-26 10:46:13
|
|














»Ø¸´´ËÂ¥

