| ²é¿´: 2666 | »Ø¸´: 6 | ||
mazuju028ľ³æ (ÕýʽдÊÖ)
|
[ÇóÖú]
¡¾ÖؽðÇóÖú¡¿°üº¬Ô×Ó¹±Ï×µÄÄÜ´øÍ¼Ôõô»£¿
|
|
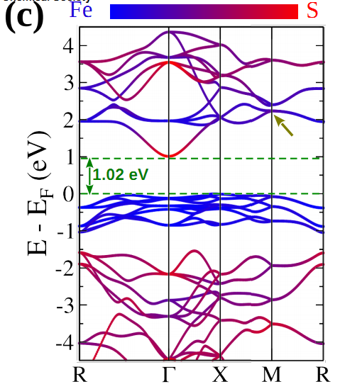
¿´µ½ÎÄÏ×ÖмÆËãFeS2µÄÄÜ´ø£¬ÔÚͼÖл¹¿ÉÒÔÏÔʾ¸÷¸öÔ×ÓÔÚÄÜ´øÍ¼ÖÐÈÎÒâÒ»¸öµãµÄ¹±Ïס£ÕâÊÇÈçºÎ×öµ½µÄÄØ£¿vasp¿ÉÒÔʵÏÖÂ𣿠´ÓͼÐÎ˵Ã÷ÉÏ¿´ºÃÏñÊÇÒª¶Ô±¾Õ÷²¨º¯Êý×öһЩ´¦Àí£¬ÓÐÈË×ö¹ýÕâ¸öÂ𣿠|
» ²ÂÄãϲ»¶
0703Çóµ÷¼Á383·Ö
ÒѾÓÐ9È˻ظ´
Çóµ÷¼Á
ÒѾÓÐ8È˻ظ´
»¯Ñ§µ÷¼ÁÇóÖú
ÒѾÓÐ7È˻ظ´
Ò»Ö¾Ô¸¹þ¶û±õ¹¤Òµ´óѧ085600Ó¢Ò»Êý¶þ337·ÖÇóµ÷¼Á
ÒѾÓÐ12È˻ظ´
085600£¬320·ÖÇóµ÷¼Á
ÒѾÓÐ16È˻ظ´
Ò»Ö¾Ô¸211£¬»¯Ñ§Ñ§Ë¶£¬310·Ö£¬±¾¿ÆÖصãË«·Ç£¬Çóµ÷¼Á
ÒѾÓÐ12È˻ظ´
0703»¯Ñ§µ÷¼Á325·Ö
ÒѾÓÐ10È˻ظ´
085600£¬321·ÖÇóµ÷¼Á
ÒѾÓÐ12È˻ظ´
»¯Ñ§357·Ö£¬¿¼Ñе÷¼Á
ÒѾÓÐ12È˻ظ´
Ò»Ö¾Ô¸Äϲý´óѧ£¬085600£¬344·ÖÇóµ÷¼Á
ÒѾÓÐ8È˻ظ´
» ±¾Ö÷ÌâÏà¹Ø¼ÛÖµÌùÍÆ¼ö£¬¶ÔÄúͬÑùÓаïÖú:
vasp»ÄÜ´øÍ¼µÄÒÉÎÊ
ÒѾÓÐ12È˻ظ´
Ô×ÓÄܼ¶ºÍÏàÓ¦·Ö×ÓÄÜ´øÊýÁ¿ÓйØÏµÃ´£¿
ÒѾÓÐ3È˻ظ´
origin»ÄÜ´øÍ¼
ÒѾÓÐ4È˻ظ´
Ô×ӽṹ¶Ñ»ýͼÈçºÎ»
ÒѾÓÐ4È˻ظ´
ÕâÖÖÄܼ¶Í¼ÊÇÈçºÎ»³öÀ´µÄÄØ£¿²»ÊÇÄÜ´øÍ¼
ÒѾÓÐ10È˻ظ´
¡¾ÇóÖú¡¿band.datÓÃorigin»ÄÜ´øÍ¼
ÒѾÓÐ5È˻ظ´
¡¾ÇóÖú¡¿ÄÜ´øÍ¼ÈçºÎ»³öÄØ£¿
ÒѾÓÐ8È˻ظ´
¡¾ÇóÖú¡¿siesta ¼ÆËãDOSÓ¦¸Ã×¢ÒâʲôÎÊÌâ
ÒѾÓÐ3È˻ظ´
¡¾ÇóÖú¡¿ÈçºÎµÃµ½ÄÜ´øÔÚÿ¸öÔ×Ӻ͹ìµÀÉϵÄͶӰ£¿
ÒѾÓÐ10È˻ظ´

iamikaruk
ľ³æ (ÖøÃûдÊÖ)
- 1STÇ¿Ìû: 1
- Ó¦Öú: 11 (СѧÉú)
- ½ð±Ò: 4950.3
- É¢½ð: 118
- ºì»¨: 76
- Ìû×Ó: 1362
- ÔÚÏß: 543.8Сʱ
- ³æºÅ: 1315985
- ×¢²á: 2011-06-05
- רҵ: ÎÞ»ú·Ç½ðÊôÀàµç½éÖÊÓëµç½â

2Â¥2012-09-15 11:33:11
wangfeideren
¾èÖú¹ó±ö (ÕýʽдÊÖ)
- Ó¦Öú: 4 (Ó×¶ùÔ°)
- ½ð±Ò: 1575.5
- ºì»¨: 1
- Ìû×Ó: 408
- ÔÚÏß: 51.5Сʱ
- ³æºÅ: 1883731
- ×¢²á: 2012-07-08
- רҵ: Ô·¢ÐÔÉöÔ༲²¡
3Â¥2012-09-15 12:56:39
mazuju028
ľ³æ (ÕýʽдÊÖ)
- 1STÇ¿Ìû: 2
- Ó¦Öú: 30 (СѧÉú)
- ¹ó±ö: 0.141
- ½ð±Ò: 2794.4
- É¢½ð: 528
- ºì»¨: 10
- Ìû×Ó: 942
- ÔÚÏß: 419.4Сʱ
- ³æºÅ: 668835
- ×¢²á: 2008-12-05
- ÐÔ±ð: GG
- רҵ: Äý¾Û̬ÎïÐÔ II £ºµç×ӽṹ

4Â¥2012-09-15 23:06:00
tiaozaoququ
ľ³æ (ÖøÃûдÊÖ)
- Ó¦Öú: 5 (Ó×¶ùÔ°)
- ½ð±Ò: 7143.1
- É¢½ð: 63
- ºì»¨: 1
- Ìû×Ó: 1185
- ÔÚÏß: 175.6Сʱ
- ³æºÅ: 1011016
- ×¢²á: 2010-05-04
- ÐÔ±ð: GG
- רҵ: Äý¾Û̬ÎïÐÔ II £ºµç×ӽṹ

5Â¥2012-10-08 19:56:52
water321
гæ (³õÈëÎÄ̳)
- Ó¦Öú: 0 (Ó×¶ùÔ°)
- ½ð±Ò: 12.4
- ºì»¨: 1
- Ìû×Ó: 39
- ÔÚÏß: 45.7Сʱ
- ³æºÅ: 1711022
- ×¢²á: 2012-03-23
- רҵ: Äý¾Û̬ÎïÐÔ II £ºµç×ӽṹ
6Â¥2013-10-13 18:28:18
Ììɱ·ð»Ê
гæ (³õÈëÎÄ̳)
- Ó¦Öú: 0 (Ó×¶ùÔ°)
- ½ð±Ò: 16
- Ìû×Ó: 2
- ÔÚÏß: 4Сʱ
- ³æºÅ: 3188379
- ×¢²á: 2014-05-07
- רҵ: Äý¾Û̬ÎïÐÔ II £ºµç×ӽṹ
7Â¥2017-12-07 04:12:33














»Ø¸´´ËÂ¥
×Ðϸ¿´ÁËÒ»ÏÂPROCAR£¬¹ûÈ»¿ÉÒÔ¡£Ð»Ð»¹þ£¬ºÃÏñ¸ø²»ÁËÄã½ð±Ò°¡