版块导航
正在加载中...
客户端APP下载
论文辅导
申博辅导
登录
注册
帖子
帖子
用户
本版
应《网络安全法》要求,自2017年10月1日起,未进行实名认证将不得使用互联网跟帖服务。为保障您的帐号能够正常使用,请尽快对帐号进行手机号验证,感谢您的理解与支持!
24小时热门版块排行榜
>
论坛更新日志
(876)
>
虫友互识
(51)
>
论文投稿
(38)
>
休闲灌水
(28)
>
导师招生
(25)
>
论文道贺祈福
(25)
>
基金申请
(19)
>
考研
(18)
>
硕博家园
(14)
>
找工作
(14)
>
教师之家
(12)
>
考博
(9)
>
公派出国
(6)
>
博后之家
(4)
>
经济学
(2)
>
复合材料
(2)
小木虫论坛-学术科研互动平台
»
计算模拟区
»
计算模拟
»
急急急!关于参数回归
4
1/1
返回列表
查看: 415 | 回复: 3
只看楼主
@他人
存档
新回复提醒
(忽略)
收藏
在APP中查看
oo小南瓜
木虫
(小有名气)
应助: 0
(幼儿园)
金币: 3753.9
散金: 10
帖子: 80
在线: 61.3小时
虫号: 1260016
注册: 2011-04-09
专业: 化工热力学和基础数据
[
求助
]
急急急!关于参数回归
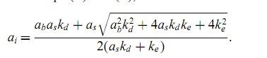
请教问题 就这样一个公式如何
回归参数ke kd ai
就ab和as已知?
@YR_G$Z2V(0}Z2GJ9@KDJZG.jpg
回复此楼
» 猜你喜欢
新西兰Robinson研究所招收全奖PhD
已经有0人回复
石墨烯转移--二氧化硅衬底石墨烯
已经有0人回复
物理学I论文润色/翻译怎么收费?
已经有293人回复
笼目材料中量子自旋液体基态的证据
已经有0人回复
数学教学论硕士可以读数学物理博士吗?
已经有0人回复
德国亥姆霍兹Hereon中心汉堡分部招镁合金腐蚀裂变SCC课题方向2026公派博士生
已经有4人回复
澳门大学 应用物理及材料工程研究院 潘晖教授课题组诚招博士后
已经有11人回复
求助NH4V4O10晶体的CIF文件
已经有0人回复
英国全奖博士招聘-深度学习与量子物理
已经有0人回复
间接带隙半导体有效质量求助
已经有1人回复
投稿chemical physical letters不送审?
已经有2人回复
1楼
2012-09-13 20:53:09
已阅
回复此楼
关注TA
给TA发消息
送TA红花
TA的回帖
xxz903
金虫
(小有名气)
应助: 33
(小学生)
金币: 1045.6
散金: 190
红花: 4
帖子: 253
在线: 66.7小时
虫号: 1360336
注册: 2011-08-03
性别: GG
专业: 化工系统工程
【答案】应助回帖
感谢参与,应助指数 +1
建议用1stopt 回归参数很容易的~~
赞
一下
回复此楼
2楼
2012-09-13 22:33:24
已阅
回复此楼
关注TA
给TA发消息
送TA红花
TA的回帖
flowerstudy
木虫
(正式写手)
应助: 4
(幼儿园)
金币: 4398.6
散金: 2
帖子: 854
在线: 137小时
虫号: 162807
注册: 2006-01-10
性别: GG
专业: 理论和计算化学
【答案】应助回帖
感谢参与,应助指数 +1
建议采用最小二乘法进行回归。用Matlab进行回归计算。
赞
一下
回复此楼
3楼
2012-09-14 19:06:56
已阅
回复此楼
关注TA
给TA发消息
送TA红花
TA的回帖
oo小南瓜
木虫
(小有名气)
应助: 0
(幼儿园)
金币: 3753.9
散金: 10
帖子: 80
在线: 61.3小时
虫号: 1260016
注册: 2011-04-09
专业: 化工热力学和基础数据
引用回帖:
2楼
:
Originally posted by
xxz903
at 2012-09-13 22:33:24
建议用1stopt 回归参数很容易的~~
请问你有比较高的版本的软件吗?
赞
一下
回复此楼
4楼
2012-09-15 09:30:35
已阅
回复此楼
关注TA
给TA发消息
送TA红花
TA的回帖
相关版块跳转
第一性原理
量子化学
计算模拟
分子模拟
仿真模拟
程序语言
我要订阅楼主
oo小南瓜
的主题更新
4
1/1
返回列表
如果回帖内容含有宣传信息,请如实选中。否则帐号将被全论坛禁言
普通表情
龙
兔
虎
猫
百度网盘
|
360云盘
|
千易网盘
|
华为网盘
在新窗口页面中打开自己喜欢的网盘网站,将文件上传后,然后将下载链接复制到帖子内容中就可以了。
信息提示
关闭
请填处理意见
关闭
确定