| 查看: 1274 | 回复: 3 | |
[求助]
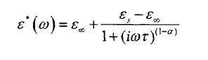
怎么用origin8.0拟合德拜公式,求出弛豫时间t
|
|
|
|
|
tsglss铁杆木虫 (著名写手)
|
|
![]() |
|
|
2楼2016-01-15 19:52:39
|
|
|
3楼2016-01-16 12:47:25
|
|
tsglss铁杆木虫 (著名写手)
|
|
![]() |
|
|
4楼2016-01-16 16:48:04
|
|














回复此楼
