| ²é¿´: 378 | »Ø¸´: 0 | ||
seanshee½ð³æ (СÓÐÃûÆø)
|
[ÇóÖú]
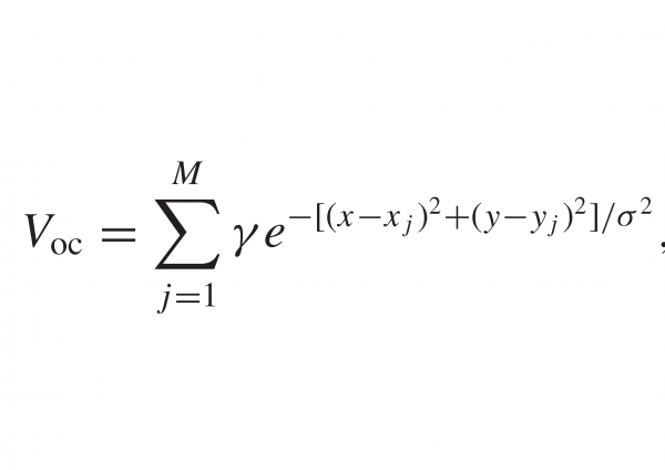
²ËÄñÇë½ÌÖîλ´óʦ£¬ÈçºÎÓÃFortranʵÏÖÏÂÁз½³Ì£¿
|
|
ÆäÖУ¬M=20, 10.11.29-Atomic quantum corrals for Bose-Einstein condensates.png [ Last edited by seanshee on 2012-9-5 at 10:30 ] |
» ²ÂÄãϲ»¶
07»¯Ñ§280·ÖÇóµ÷¼Á
ÒѾÓÐ3È˻ظ´
¿¼Ñл¯Ñ§308·ÖÇóµ÷¼Á
ÒѾÓÐ8È˻ظ´
070300»¯Ñ§Çóµ÷¼Á
ÒѾÓÐ7È˻ظ´
ÉúÎïѧһ־Ը985£¬·ÖÊý349Çóµ÷¼Á
ÒѾÓÐ9È˻ظ´
341Çóµ÷¼Á(Ò»Ö¾Ô¸ºþÄÏ´óѧ070300)
ÒѾÓÐ4È˻ظ´
336»¯¹¤µ÷¼Á
ÒѾÓÐ5È˻ظ´
279·ÖÇóµ÷¼Á Ò»Ö¾Ô¸211
ÒѾÓÐ17È˻ظ´
291Çóµ÷¼Á
ÒѾÓÐ4È˻ظ´
328Çóµ÷¼Á£¬Ó¢ÓïÁù¼¶551£¬ÓпÆÑоÀú
ÒѾÓÐ12È˻ظ´
Ò»Ö¾Ô¸ÉϺ£½»´óÉúÎïÓëҽҩר˶324·Ö£¬Çóµ÷¼Á
ÒѾÓÐ5È˻ظ´

ÕÒµ½Ò»Ð©Ïà¹ØµÄ¾«»ªÌû×Ó£¬Ï£ÍûÓÐÓÃŶ~
Çë½ÌFortranÏÂÈçºÎ¸ø¶þά»òÈýάÊý×鸳³õÖµ£¬Ð»Ð»
ÒѾÓÐ3È˻ظ´
Çë½ÌÒ»ÏÂVisual fortranµÄprojectµÄhead files ºÍ resources filesµÄÓô¦£¬Ð»Ð»
ÒѾÓÐ5È˻ظ´
¡¾ÇóÖú¡¿Çë½ÌÈçºÎÔÚ³¬ËãÉÏÔËÐÐfortran³ÌÐò
ÒѾÓÐ4È˻ظ´
¡¾ÇóÖú¡¿ÓÃ×îС¶þ³Ë·¨Çó½âÏßÐÔ·½³Ì×éµÄFortran´úÂë
ÒѾÓÐ4È˻ظ´
¡¾ÇóÖú¡¿ÓÃfortranÇó½â´óÐÍÏßÐÔ·½³Ì×éʱ³öÏֵĴíÎó¡¾Òѽâ¾ö¡¿
ÒѾÓÐ11È˻ظ´
¡¾ÇóÖú¡¿ÈçºÎÓÃFortran½âÒ»ÔªÈý´Î·½³Ì¡¾Òѽâ¾ö¡¿
ÒѾÓÐ6È˻ظ´
¿ÆÑдÓСľ³æ¿ªÊ¼£¬ÈËÈËΪÎÒ£¬ÎÒΪÈËÈË













»Ø¸´´ËÂ¥
µã»÷ÕâÀïËÑË÷¸ü¶àÏà¹Ø×ÊÔ´