| ²é¿´: 1515 | »Ø¸´: 1 | ||
iqv520Ìú³æ (³õÈëÎÄ̳)
|
[ÇóÖú]
ÈçºÎ½«Ò»¸ö¾ØÕóת»»³ÉÓü«×ø±ê±íʾ£¬Ö»»áдһ²¿·Ö£¬´ó¼Ò°ïæ¿´¿´
|
|
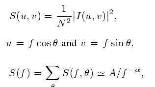
Èçͼ¸øµÄ¹«Ê½£¬IÊÇ´óСΪN*NµÄͼÏñµÄ¸µÀïÒ¶±ä»»£¬ÏÖÔÚÒª½«¾ØÕóS(u,v)ת»»³ÉÓü«×ø±ê±íʾS(f,¦È)£¬ÈçºÎÓÃcart2polÕâ¸öº¯ÊýÀ´×ª»»ÄØ£¿ ÎÒÖ»»áÇó³öS(u,v)£¬ÏÂÃæµÄ¾Í²»»áÁË£¬ÇóÖ¸µ¼ new.png |
» ²ÂÄãϲ»¶
¿¼ÑÐÇóµ÷¼Á
ÒѾÓÐ13È˻ظ´
Çóµ÷¼Á
ÒѾÓÐ3È˻ظ´
È˹¤ÖÇÄÜ320µ÷¼Á08¹¤À໹Óлú»áÂð
ÒѾÓÐ17È˻ظ´
¿¼ÑÐÓ¢Ò»ÊýÒ»338·Ö
ÒѾÓÐ10È˻ظ´
ÇóÖúµ÷¼Á£¬¿çµ÷
ÒѾÓÐ15È˻ظ´
085600²ÄÁÏÓ뻯¹¤329·ÖÇóµ÷¼Á
ÒѾÓÐ20È˻ظ´
085600²ÄÁÏÓ뻯¹¤349·ÖÇóµ÷¼Á
ÒѾÓÐ15È˻ظ´
Çóµ÷¼Á
ÒѾÓÐ13È˻ظ´
Ò»Ö¾Ô¸»ªÄÏÀí¹¤´óѧ331·Ö²ÄÁÏÇóµ÷¼Á
ÒѾÓÐ11È˻ظ´
271Çóµ÷¼Á
ÒѾÓÐ40È˻ظ´
iqv520
Ìú³æ (³õÈëÎÄ̳)
- Ó¦Öú: 1 (Ó×¶ùÔ°)
- ½ð±Ò: 56.3
- É¢½ð: 5
- ºì»¨: 1
- Ìû×Ó: 48
- ÔÚÏß: 30.6Сʱ
- ³æºÅ: 1792304
- ×¢²á: 2012-05-03
- ÐÔ±ð: GG
- רҵ: ¼ÆËã»úÓ¦Óü¼Êõ
2Â¥2012-09-03 09:28:12














»Ø¸´´ËÂ¥