| 查看: 1532 | 回复: 13 | ||
[求助]
电化学分析,求助~~
|
|
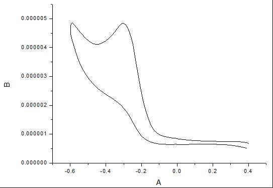
本人做了碳纳米管的复合材料修饰玻碳电极,并测试电化学,做循环伏安曲线,速度0.01,分散剂为DMF~~图看起来很怪唉,跟理论的有差异~~ 刚刚入行,不是很懂,请高手帮忙分析一下此图,不胜感激! 有事没事的,走过路过的,都过来瞧瞧啊,留下您的看法…… 多谢,多谢,多谢 ![]() 图片1.jpg |
» 猜你喜欢
湖南农业大学能源材料创新团队招收2025化学专业研究生(学硕)调剂
已经有0人回复
2026年西华大学材料学院-材料近净成形与表面技术研究团队-招收调剂研究生
已经有9人回复
物理化学论文润色/翻译怎么收费?
已经有298人回复
调剂信息
已经有0人回复
华南理工0703化学,总分336求调剂
已经有1人回复
河北农大生物与医药专业招收调剂,名额充足
已经有0人回复
齐鲁工业大学 国家重点实验室-新能源、锂离子电池、材料、化学方向
已经有0人回复
一志愿前4位代码0703均可报名-河北大学分析化学专业招收调剂考生
已经有57人回复
★★爆★★0860生物与医药调剂考生看过来,河北大学化学与材料科学学院
已经有64人回复
杰青/长江团队招收调剂
已经有0人回复
中南林业科技大学罗勇锋教授团队2026年招收材料类调剂研究生
已经有0人回复
» 本主题相关商家推荐: (我也要在这里推广)
» 本主题相关价值贴推荐,对您同样有帮助:
求助电化学分析
已经有4人回复
求助电化学阻抗谱分析,急急急
已经有4人回复
【求助】电化学阻抗谱解读
已经有9人回复
【求助】新学电化学分析测试买那些电极
已经有8人回复
【求助】急求电化学分析教材
已经有10人回复
【求助】电化学阻抗分析
已经有16人回复
blackstar117
金虫 (小有名气)
- 应助: 50 (小学生)
- 金币: 398.1
- 红花: 5
- 帖子: 242
- 在线: 52.9小时
- 虫号: 1809819
- 注册: 2012-05-11
- 专业: 电化学
2楼2012-08-31 21:12:45
jackei
金虫 (小有名气)
- 应助: 6 (幼儿园)
- 金币: 1862.5
- 红花: 1
- 帖子: 116
- 在线: 19.2小时
- 虫号: 1955444
- 注册: 2012-08-25
- 性别: GG
- 专业: 有机合成
3楼2012-09-01 09:25:24
4楼2012-09-01 09:50:44
5楼2012-09-01 09:52:28
liyaya775712
金虫 (小有名气)
- 应助: 8 (幼儿园)
- 金币: 830.8
- 散金: 10
- 红花: 2
- 帖子: 208
- 在线: 41.3小时
- 虫号: 1319610
- 注册: 2011-06-10
- 专业: 电化学分析
6楼2012-09-01 11:47:45
duan0718
木虫 (职业作家)
- 应助: 38 (小学生)
- 金币: 12248.4
- 散金: 5413
- 红花: 49
- 帖子: 3237
- 在线: 2228.7小时
- 虫号: 1326281
- 注册: 2011-06-18
- 性别: GG
- 专业: 电化学分析
7楼2012-09-02 09:19:52
8楼2012-09-03 16:27:21
9楼2012-09-03 16:28:43
10楼2012-09-03 16:41:48















回复此楼
