±±¾©Ê¯ÓÍ»¯¹¤Ñ§Ôº2026ÄêÑо¿ÉúÕÐÉú½ÓÊÕµ÷¼Á¹«¸æ
²é¿´: 2263  |  »Ø¸´: 15

xiaowu787

ľ³æ (ÕýʽдÊÖ)


[½»Á÷] ¼«ÐÔ±íÃæ±íÃæÄܼÆË㹫ʽÖеÄÒ»µãÒÉÎÊ

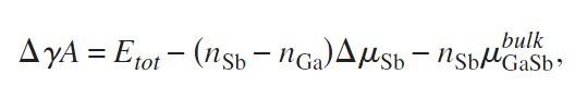
¼«ÐÔ±íÃæ±íÃæÄܵļÆË㹫ʽÈçÏÂ



¶ÔÓÚ°ëµ¼Ìå±íÃæÐèÒª¼ÓH¶Û»¯£¬¼ÆËã³öÀ´µÄ×ÜÄÜÈçºÎ¿Û³ý¼ÓHµÄÄÜÁ¿ÄØ£¿±íÃæÄܼÆË㹫ʽûÓаüº¬HµÄÄÜÁ¿ÏÀýÈçÔÚϱíÃæ¼ÓÁË4¸öH£¬ÈçºÎ´Ó×ÜÄÜÖмõÈ¥4¸öHµÄÄÜÁ¿£¿

лл£¡
»Ø¸´´ËÂ¥

» ²ÂÄãϲ»¶

» ±¾Ö÷ÌâÏà¹Ø¼ÛÖµÌùÍÆ¼ö£¬¶ÔÄúͬÑùÓаïÖú:

» ÇÀ½ð±ÒÀ²£¡»ØÌû¾Í¿ÉÒԵõ½:

²é¿´È«²¿É¢½ðÌù

ÒÑÔÄ   »Ø¸´´ËÂ¥   ¹Ø×¢TA ¸øTA·¢ÏûÏ¢ ËÍTAºì»¨ TAµÄ»ØÌû
»ØÌûÖö¥ ( ¹²ÓÐ4¸ö )

chaizhm

ľ³æ (ÖøÃûдÊÖ)


¡ï
xiaowu787(½ð±Ò+1): лл²ÎÓë
ÎÒÒ²ÓÐͬÑùµÄÒÉÎÊ£¬µ«ÊǺÃÏñ´ó¼Ò¶¼ºöÂÔÁË
2Â¥2012-08-31 08:56:27
ÒÑÔÄ   »Ø¸´´ËÂ¥   ¹Ø×¢TA ¸øTA·¢ÏûÏ¢ ËÍTAºì»¨ TAµÄ»ØÌû

youji

ľ³æ (ÕýʽдÊÖ)


¡ï ¡ï ¡ï
xiaowu787(½ð±Ò+1): лл²ÎÓë
franch: ½ð±Ò+2, лл»ØÌû½»Á÷ 2012-09-03 20:31:55
²Î¿¼A. D. Zdetsis, Phys. Rev. B 76 (2007) 075402
A. D. Zdetsis, Phys. Rev. B 77 (2008) 115402

phys. stat. sol. (a) 205, No. 11, 2625¨C2629 (2008)

[ Last edited by youji on 2012-8-31 at 11:11 ]
4Â¥2012-08-31 11:08:05
ÒÑÔÄ   »Ø¸´´ËÂ¥   ¹Ø×¢TA ¸øTA·¢ÏûÏ¢ ËÍTAºì»¨ TAµÄ»ØÌû

xiaowu787

ľ³æ (ÕýʽдÊÖ)


ÒýÓûØÌû:
4Â¥: Originally posted by youji at 2012-08-31 11:08:05
²Î¿¼A. D. Zdetsis, Phys. Rev. B 76 (2007) 075402
A. D. Zdetsis, Phys. Rev. B 77 (2008) 115402

phys. stat. sol. (a) 205, No. 11, 2625¨C2629 (2008)
...

ÊÇÏÂÃæµÄ¹«Ê½Âð


¸Ð¾õ²»Ì«Ò»Ñùѽ£¿ÕâÀïµÄ±íÃæÌåϵ
6Â¥2012-09-01 09:40:43
ÒÑÔÄ   »Ø¸´´ËÂ¥   ¹Ø×¢TA ¸øTA·¢ÏûÏ¢ ËÍTAºì»¨ TAµÄ»ØÌû

wangziyan3

½ð³æ (СÓÐÃûÆø)


¡ï
xiaowu787(½ð±Ò+1): лл²ÎÓë
²»ÖªµÀÆäËûÈí¼þÈçºÎ£¬VASPµÄ»°µ¥Ô­×ÓÄÜÁ¿»ù±¾¶¼È¡Îª0£¬ÒòΪËüÃǵÄȡֵÓëÄÜÁ¿²Î¿¼ÁãµãºÜ½Ó½üËùÒÔ×ÜÄܶÁÊýΪ0£¬×ÔÈ»ºöÂÔÁË
10Â¥2012-09-01 18:07:49
ÒÑÔÄ   »Ø¸´´ËÂ¥   ¹Ø×¢TA ¸øTA·¢ÏûÏ¢ ËÍTAºì»¨ TAµÄ»ØÌû

xiaowu787

ľ³æ (ÕýʽдÊÖ)


ÒýÓûØÌû:
4Â¥: Originally posted by youji at 2012-08-31 11:08:05
²Î¿¼A. D. Zdetsis, Phys. Rev. B 76 (2007) 075402
A. D. Zdetsis, Phys. Rev. B 77 (2008) 115402

phys. stat. sol. (a) 205, No. 11, 2625¨C2629 (2008)
...

лл£¬ÎÒ¿´Ò»ÏÂ
5Â¥2012-09-01 09:19:40
ÒÑÔÄ   »Ø¸´´ËÂ¥   ¹Ø×¢TA ¸øTA·¢ÏûÏ¢ ËÍTAºì»¨ TAµÄ»ØÌû

xiaowu787

ľ³æ (ÕýʽдÊÖ)


¼ÌÐøµÈ´ý½â´ð
12Â¥2012-09-03 12:48:45
ÒÑÔÄ   »Ø¸´´ËÂ¥   ¹Ø×¢TA ¸øTA·¢ÏûÏ¢ ËÍTAºì»¨ TAµÄ»ØÌû

ÃÎ@¾ý

ľ³æ (ÖøÃûдÊÖ)


¡ï
xiaowu787(½ð±Ò+1): лл²ÎÓë
×ÜÕÒ²»µ½ÂúÒâµÄ½â´ð
15Â¥2013-07-30 11:46:55
ÒÑÔÄ   »Ø¸´´ËÂ¥   ¹Ø×¢TA ¸øTA·¢ÏûÏ¢ ËÍTAºì»¨ TAµÄ»ØÌû
¼òµ¥»Ø¸´
2012-08-31 09:32   »Ø¸´  
xiaowu787(½ð±Ò+1): лл²ÎÓë
jh83817Â¥
2012-09-01 09:50   »Ø¸´  
xiaowu787(½ð±Ò+1): лл²ÎÓë
7349462408Â¥
2012-09-01 09:52   »Ø¸´  
xiaowu787(½ð±Ò+1): лл²ÎÓë
2012-09-01 10:37   »Ø¸´  
xiaowu787(½ð±Ò+1): лл²ÎÓë
2012-09-01 18:32   »Ø¸´  
xiaowu787(½ð±Ò+1): лл²ÎÓë
gyfwon13Â¥
2012-09-03 13:21   »Ø¸´  
xiaowu787(½ð±Ò+1): лл²ÎÓë
73494624014Â¥
2012-09-03 13:27   »Ø¸´  
myelt16Â¥
2015-11-09 09:32   »Ø¸´  
xiaowu787(½ð±Ò+1): лл²ÎÓë
Ïà¹Ø°æ¿éÌø×ª ÎÒÒª¶©ÔÄÂ¥Ö÷ xiaowu787 µÄÖ÷Ìâ¸üÐÂ
×î¾ßÈËÆøÈÈÌûÍÆ¼ö [²é¿´È«²¿] ×÷Õß »Ø/¿´ ×îºó·¢±í
[¿¼ÑÐ] µ÷¼Á +3 Àî¹ã»ð 2026-04-05 3/150 2026-04-05 18:57 by À¶ÔÆË¼Óê
[¿¼ÑÐ] ²ÄÁÏ0856 Ó¢Ò»Êý¶þ 323 Çóµ÷¼Á +14 Ô¬sy 2026-04-01 14/700 2026-04-05 18:18 by cql1109
[¿¼ÑÐ] 282Çóµ÷¼Á +7 aaa³µÁ¾ 2026-04-02 11/550 2026-04-05 17:24 by yulian1987
[¿¼ÑÐ] Ò»Ö¾Ô¸ÉϺ£º£Ñó´óѧ083200ʳƷѧ˶£¬Çóµ÷¼Á£¬½ÓÊÜÆäËûרҵ083200 +4 whatÕÅ 2026-04-04 5/250 2026-04-05 14:07 by chw1980_0
[¿¼ÑÐ] µ÷¼Á +3 ºÃºÃ¶ÁÊé¡£ 2026-04-02 3/150 2026-04-05 13:02 by arrow8852
[¿¼ÑÐ] ²ÄÁϹ¤³Ìר˶Çóµ÷¼Á +11 hyl3153942 2026-03-29 11/550 2026-04-05 11:12 by ·çÓêÎÞÇç
[¿¼ÑÐ] 0703×Ü·Ö331Çóµ÷¼Á +10 ZY-05 2026-04-04 13/650 2026-04-05 11:03 by xiayan13521
[¿¼ÑÐ] Ò»Ö¾Ô¸½­ÄÏ´óѧ085501»úе¹¤³Ìר˶326·Ö£¬±¾¿Æ¼Ñľ˹´óѧ +5 ¹ËÈô¸¡Éú 2026-04-03 9/450 2026-04-05 09:57 by 1753564080
[¿¼ÑÐ] 302·ÖÇóµ÷¼Á Ò»Ö¾Ô¸°²»Õ´óѧ085601 +5 zyxÉϰ¶£¡ 2026-04-04 5/250 2026-04-05 07:50 by 544594351
[¿¼ÑÐ] µ÷¼Á +11 JLLLLLLLLLL 2026-04-03 11/550 2026-04-04 22:21 by hemengdong
[¿¼ÑÐ] 338Çóµ÷¼Á +7 êɹ¦? 2026-04-03 7/350 2026-04-04 20:37 by À¶ÔÆË¼Óê
[¿¼ÑÐ] Ò»Ö¾Ô¸»¦9£¬ÇóÉúÎïѧµ÷¼Á£¬326·Ö +6 Áõīī 2026-04-04 6/300 2026-04-04 19:44 by ÌÆãå¶ù
[¿¼ÑÐ] ¿¼Ñе÷¼Á +4 ÃÀÀöµÄyouth_ 2026-04-04 5/250 2026-04-04 17:16 by imissbao
[¿¼ÑÐ] 085600²ÄÁÏÓ뻯¹¤µ÷¼Á +26 kikiki7 2026-03-30 27/1350 2026-04-04 09:18 by qlm5820
[¿¼ÑÐ] 266Çóµ÷¼Á +18 ÑôÑôÍÛÈû 2026-04-01 18/900 2026-04-03 18:38 by zllcz
[¿¼ÑÐ] Ò»Ö¾Ô¸»ª¶«Àí¹¤´óѧ£¬080500ѧ˶£¬317·Ö£¬Çóµ÷¼Á +13 s1145 2026-03-31 15/750 2026-04-03 11:44 by msi123
[¿¼ÑÐ] Ò»Ö¾Ô¸ÉÂÎ÷ʦ·¶´óѧÉúÎïѧ317·Ö +5 1563ÈÕ¡£ 2026-04-02 5/250 2026-04-03 06:58 by ilovexiaobin
[¿¼ÑÐ] 0856²ÄÁÏÓ뻯¹¤µ÷¼Á£¬339 +14 10213207 2026-03-31 14/700 2026-04-02 21:01 by 1104338198
[¿¼ÑÐ] 08¹¤¿Æ275Çóµ÷¼Á£¬¿É¿ç¿¼¡£ +5 AaAa7420 2026-03-31 5/250 2026-04-01 15:21 by 159357hjz
[¿¼ÑÐ] 0710ÉúÎïѧÇóµ÷¼Á£¡ +6 ÐðÊöÎÄ 2026-03-31 6/300 2026-04-01 09:39 by JourneyLucky
ÐÅÏ¢Ìáʾ
ÇëÌî´¦ÀíÒâ¼û