| 查看: 1391 | 回复: 5 | |
[求助]
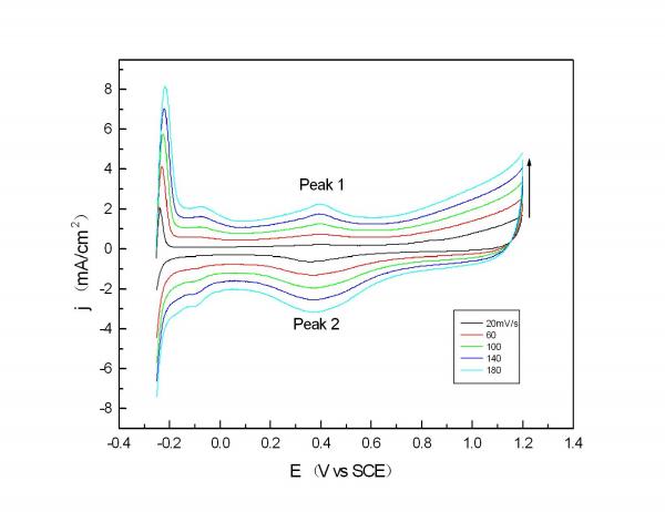
Pt-Ni 合金纳米颗粒催化剂催化ORR的CV图如何解析
|
|
![]() |
|
|
|
|
![]() |
|
|
2楼2012-08-28 17:46:02
|
|
|
3楼2012-08-28 21:48:46
|
|
![]() |
|
|
4楼2012-08-29 07:47:16
|
|
|
5楼2012-08-29 21:46:03
|
|
![]() |
|
|
6楼2012-09-05 20:30:48
|
|













回复此楼


电池2012