版块导航
正在加载中...
客户端APP下载
论文辅导
调剂小程序
登录
注册
帖子
帖子
用户
本版
应《网络安全法》要求,自2017年10月1日起,未进行实名认证将不得使用互联网跟帖服务。为保障您的帐号能够正常使用,请尽快对帐号进行手机号验证,感谢您的理解与支持!
24小时热门版块排行榜
>
论坛更新日志
(3625)
>
虫友互识
(686)
>
导师招生
(421)
>
文献求助
(380)
>
硕博家园
(165)
>
考博
(146)
>
考研
(134)
>
休闲灌水
(132)
>
博后之家
(103)
>
招聘信息布告栏
(86)
>
基金申请
(50)
>
教师之家
(46)
>
论文投稿
(46)
>
论文道贺祈福
(39)
>
公派出国
(37)
>
攻关文献(高奖励)
(33)
小木虫论坛-学术科研互动平台
»
专业学科区
»
数学
»
数学综合
»
Gama 函数
3
1/1
返回列表
查看: 482 | 回复: 2
只看楼主
@他人
存档
新回复提醒
(忽略)
收藏
在APP中查看
08jmliu
新虫
(小有名气)
应助: 0
(幼儿园)
金币: 1075.7
帖子: 254
在线: 52小时
虫号: 750366
[交流]
Gama 函数
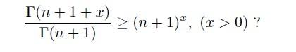
n 为正整数,下面Gama 函数的不等式成立吗?
为什么?
回复此楼
» 猜你喜欢
【博士招生】太原理工大学2026化工博士
已经有5人回复
什么是人一生最重要的?
已经有5人回复
280求调剂
已经有3人回复
网上报道青年教师午睡中猝死、熬夜猝死的越来越多,主要哪些原因引起的?
已经有8人回复
面上可以超过30页吧?
已经有11人回复
版面费该交吗
已经有15人回复
体制内长辈说体制内绝大部分一辈子在底层,如同你们一样大部分普通教师忙且收入低
已经有18人回复
为什么中国大学工科教授们水了那么多所谓的顶会顶刊,但还是做不出宇树机器人?
已经有10人回复
高级回复
» 抢金币啦!回帖就可以得到:
查看全部散金贴
寻找那个能让“稳定生活”变得“更有趣”的你
+
1
/178
2026时光标本=已经注册了 5608 天,合计 16 年
+
1
/138
26国自然面上,大家是否还写研究方案?
+
1
/87
求助哪里可以做光催化产氢的放大实验
+
1
/85
广工-董华锋教授团队招收博士生(1学博-0-1专博)
+
1
/75
博洛尼亚大学能源材料课题组2个博后位置招聘(PNRR & MSCA)
+
1
/61
澳门理工大学人工智能智慧康养26 年9月入学 博士招生有奖学金
+
1
/33
澳门理工大学人工智能智慧康养方向26 年9月入学博士招生 奖学金
+
1
/31
南通大学生物医药方向国家级人才团队招收“申请-考核”制博士研究生20260222
+
2
/30
同济大学 环境科学与工程学院 国家级青年人才团队 诚聘脱产博士后
+
1
/29
深圳理工大学刘鑫课题组高薪招聘博士后
+
1
/13
诚邀有志之士加入江苏大学环境学院合成生物学课题组!(长期接收学硕专硕、硕博连读)
+
1
/9
哈尔滨工程大学动力学院赵建辉团队招收2026博士研究生
+
1
/8
北京某研究院结构生物学相关专业申请考核制博士招生(春季)
+
1
/8
邀稿综述,作者排名和工作量分工问题,存在不满和疑问。
+
1
/8
【全奖博士招生】美国科罗拉多大学科罗拉多斯普林斯分校----固体与结构力学
+
1
/6
博士招生
+
1
/3
国科大杭州高等研究院2026年招材料科学与工程专业联合培养博士生1名
+
1
/1
中国科学技术大学 工程科学学院 国家级人才团队 诚聘博士后
+
1
/1
【全奖博士招生】美国科罗拉多大学科罗拉多斯普林斯分校----固体与结构力学
+
1
/1
1楼
2012-08-26 15:46:23
已阅
回复此楼
关注TA
给TA发消息
送TA红花
TA的回帖
08jmliu
新虫
(小有名气)
应助: 0
(幼儿园)
金币: 1075.7
帖子: 254
在线: 52小时
虫号: 750366
在 0
参考:
http://www.ams.org/mathscinet/pd ... fpref=html&r=34
赞
一下
回复此楼
2楼
2012-08-26 19:59:17
已阅
回复此楼
关注TA
给TA发消息
送TA红花
TA的回帖
xxxfield
银虫
(小有名气)
数学EPI: 1
应助: 57
(初中生)
金币: 667.5
帖子: 230
在线: 53.5小时
虫号: 1496745
★
小木虫: 金币+0.5, 给个红包,谢谢回帖
暂不知道
[
Last edited by xxxfield on 2012-8-26 at 21:11
]
回复此楼
3楼
2012-08-26 21:08:06
已阅
回复此楼
关注TA
给TA发消息
送TA红花
TA的回帖
相关版块跳转
数理科学综合
机械
物理
数学
农林
食品
地学
能源
信息科学
土木建筑
航空航天
转基因
我要订阅楼主
08jmliu
的主题更新
3
1/1
返回列表
如果回帖内容含有宣传信息,请如实选中。否则帐号将被全论坛禁言
普通表情
龙
兔
虎
猫
高级回复
(可上传附件)
百度网盘
|
360云盘
|
千易网盘
|
华为网盘
在新窗口页面中打开自己喜欢的网盘网站,将文件上传后,然后将下载链接复制到帖子内容中就可以了。
信息提示
关闭
请填处理意见
关闭
确定