版块导航
正在加载中...
客户端APP下载
论文辅导
申博辅导
登录
注册
帖子
帖子
用户
本版
应《网络安全法》要求,自2017年10月1日起,未进行实名认证将不得使用互联网跟帖服务。为保障您的帐号能够正常使用,请尽快对帐号进行手机号验证,感谢您的理解与支持!
24小时热门版块排行榜
>
论坛更新日志
(608)
>
休闲灌水
(27)
>
导师招生
(23)
>
虫友互识
(23)
>
硕博家园
(4)
>
考博
(4)
>
论文投稿
(4)
>
论文道贺祈福
(3)
>
基金申请
(3)
>
教师之家
(3)
>
找工作
(3)
>
文献求助
(3)
>
公派出国
(3)
>
博后之家
(2)
>
外文书籍求助
(2)
>
考研
(2)
小木虫论坛-学术科研互动平台
»
专业学科区
»
数学
»
基础数学
»
有没有准备考研的,来做一个积分题,练练手了
南方科技大学公共卫生及应急管理学院2025级博士研究生招生报考通知
5
2/1
返回列表
查看: 995 | 回复: 10
只看楼主
@他人
存档
新回复提醒
(忽略)
收藏
在APP中查看
当前只显示满足指定条件的回帖,点击这里查看本话题的所有回帖
Jeydragon
木虫
(正式写手)
应助: 5
(幼儿园)
金币: 4601.2
散金: 268
红花: 11
帖子: 993
在线: 229.6小时
虫号: 966560
注册: 2010-03-10
专业: 大地测量学
[
求助
]
有没有准备考研的,来做一个积分题,练练手了
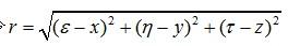
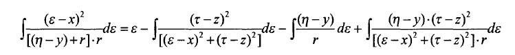
这个公式是怎么得到的?
其中公式中的r为图2.
公式
回复此楼
» 猜你喜欢
三甲基碘化亚砜的氧化反应
已经有4人回复
请问下大家为什么这个铃木偶联几乎不反应呢
已经有5人回复
请问有评职称,把科研教学业绩算分排序的高校吗
已经有5人回复
孩子确诊有中度注意力缺陷
已经有12人回复
2025冷门绝学什么时候出结果
已经有3人回复
天津工业大学郑柳春团队欢迎化学化工、高分子化学或有机合成方向的博士生和硕士生加入
已经有4人回复
康复大学泰山学者周祺惠团队招收博士研究生
已经有6人回复
AI论文写作工具:是科研加速器还是学术作弊器?
已经有3人回复
论文投稿,期刊推荐
已经有4人回复
硕士和导师闹得不愉快
已经有13人回复
» 本主题相关商家推荐:
(我也要在这里推广)
欲海沉浮名利争,石光电火步此生;风尘情事挥不尽,观世不笑是痴人。
1楼
2012-08-25 22:35:19
已阅
回复此楼
关注TA
给TA发消息
送TA红花
TA的回帖
hubeizk
银虫
(小有名气)
应助: 15
(小学生)
金币: 503.2
红花: 2
帖子: 126
在线: 48小时
虫号: 1503412
注册: 2011-11-21
专业: 计算机科学的基础理论
哦,我看错了,表示确实挺麻烦的。。。。。。。。。。
赞
一下
回复此楼
高级回复
11楼
2012-08-27 16:01:51
已阅
回复此楼
关注TA
给TA发消息
送TA红花
TA的回帖
查看全部 11 个回答
littleroad
荣誉版主
(知名作家)
烟枪一杆
应助: 228
(大学生)
贵宾: 2.496
金币: 16830.7
散金: 18303
红花: 73
沙发: 29
帖子: 8841
在线: 11034.2小时
虫号: 921345
注册: 2009-12-06
性别: GG
专业: 地理信息系统
管辖:
外语学习
我晕。。。考完研啥也看不懂了。。。坐等高手
赞
一下
回复此楼
2楼
2012-08-25 23:18:18
已阅
回复此楼
关注TA
给TA发消息
送TA红花
TA的回帖
love_dullboy
木虫
(正式写手)
应助: 65
(初中生)
金币: 2402.6
散金: 654
红花: 8
帖子: 778
在线: 238.1小时
虫号: 1242296
注册: 2011-03-23
专业: 环境污染化学
晕。要是考研能考到这类似的我把帖子吃了。你这个贴应该发到数学版块去。
[ 发自手机版 http://muchong.com/3g ]
赞
一下
回复此楼
3楼
2012-08-26 00:32:39
已阅
回复此楼
关注TA
给TA发消息
送TA红花
TA的回帖
xinxin_94
新虫
(初入文坛)
应助: 0
(幼儿园)
金币: 10
帖子: 5
在线: 55分钟
虫号: 1956367
注册: 2012-08-26
专业: 中西医结合基础理论
我是学医的 还没上大一 离我很遥远……
赞
一下
回复此楼
4楼
2012-08-26 08:04:53
已阅
回复此楼
关注TA
给TA发消息
送TA红花
TA的回帖
查看全部 11 个回答
如果回帖内容含有宣传信息,请如实选中。否则帐号将被全论坛禁言
普通表情
龙
兔
虎
猫
百度网盘
|
360云盘
|
千易网盘
|
华为网盘
在新窗口页面中打开自己喜欢的网盘网站,将文件上传后,然后将下载链接复制到帖子内容中就可以了。
信息提示
关闭
请填处理意见
关闭
确定