| 查看: 912 | 回复: 9 | ||
[求助]
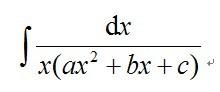
重金悬赏!!!数学高手请看过来,求一函数的不定积分
|
||
|
|
||
| 回帖置顶 ( 共有1个 ) | ||
105207759a银虫 (小有名气)
|
【答案】应助回帖
★ ★ ★ ★ ★ ★ ★ ★ ★ ★ ★ ★ ★ ★ ★ ★ ★ ★ ★ ★ ★ ★ ★ ★ ★ ★ ★ ★ ★ ★ ★ ★ ★ ★ ★ ★ ★ ★ ★ ★ ★ ★ ★ ★ ★ ★ ★ ★ ★ ★ ★ ★ ...
枫之遥想: 回帖置顶 2012-07-22 15:41:28 枫之遥想: 金币+100, ★★★★★最佳答案 2012-07-22 15:52:53
|
|
![]() |
||
|
4楼2012-07-22 15:28:53
|
|
|
| 普通回帖 | ||
105207759a银虫 (小有名气)
|
||
![]() |
||
|
2楼2012-07-22 15:06:28
|
|
|
|
3楼2012-07-22 15:25:34
|
|
|
|
5楼2012-07-22 15:45:10
|
|
|
|
||
|
6楼2012-07-22 15:58:15
|
|
|
105207759a银虫 (小有名气)
|
||
![]() |
||
|
7楼2012-07-22 16:13:01
|
|
|
ssszhangxx铁杆木虫 (正式写手)
|
||
|
8楼2012-07-23 00:55:36
|
|
|
dzyk2003铁杆木虫 (著名写手)
|
||
|
9楼2012-07-23 10:19:57
|
|
|
![]() |
||
|
10楼2012-07-24 14:04:29
|
|
|














回复此楼


105207759a