|
|
[ÇóÖú]
bioconductorÖÐlimma°ü£¬affylmGUIµÄʹÓà ÒÑÓÐ1È˲ÎÓë
Ïë·ÖÎöоƬµÄÊý¾Ý£¬ÔÚRÓïÑÔÖÐÓÃLIMMA°ü·ÖÎöµÄ£¬ÕÒÁË×ÊÁÏ¿´ÁË¿´£¬·¢ÏÖÓÃLIMMA·ÖÎöʱҪ×öÒ»¸ö¾ØÕóÉè¼Æ£¬¶Ô´Ë²»Ì«Àí½â£¬Ï£Íûǰ±²ÃǸøÖ¸µ¼Ò»Ï¡£ÏÂÃæ
estrogenÊÇÒ»¸ö2X2ÒòËØµÄ»ùÒòоƬʵÑéÊý¾Ý¡£Ï¸°ûΪMCF7°©Ï¸°û£¬Ð¾Æ¬ÎªHGU95av2¡£ÊµÑéÒò×ÓΪestrogen´æÔÚÓë·ñ£¬¼°Æä±©Â¶Ê±³¤£¨10»òÕß48Сʱ£©¡£Õâ¸öÑо¿µÄÄ¿µÄ¾ÍÊÇΪÁ˵÷²éÄÄЩ»ùÒò¶Ôestrogen×ö³öÓ¦´ð£¬ÄÄЩÊÇÔçÆÚÓ¦´ð£¬ÄÄЩÊÇÍíÆÚÓ¦´ð¡£ÆÚ´ýÔçÆÚÓ¦´ðÓëÍíÆÚÓ¦´ðµÄ»ùÒò·Ö²¼ÔÚÒ»¸ö´úл;¾¶ÉÏ£¬Ö»ÊÇËù´¦µÄλÖò»Í¬¡£
ʹÓÃlimmaÀ´·ÖÎö²îÒì±í´ïµÄ»ùÒò£¬Ö÷Òª·Ö¼¸²½×ߣº
1. ¶ÁÈ¡Êý¾Ý
2. Ô¤´¦ÀíÊý¾Ý
3. ¹¹½¨ÊµÑéÉè¼Æ¾ØÕó
4. ʹÓÃÏßÐÔÄ£Ð͹À¼Æ²îÒì±í´ïµÄ±¶Êý
5. ʹÓñ´Ò¶Ë¹Æ½»¬±ê×¼²î
6. ÊÔÓò»Í¬µÄ²ÎÊýÀ´Êä³ö²îÒì±í´ï»ùÒò½á¹û¡£
ÏÂÃæÎÒÃǾͿªÊ¼Ê¾Àý£º
##Ê×ÏȶÁÈëlimma¿â
> library(limma)
>library(affy)
Loading required package: Biobase
Welcome to Bioconductor
Vignettes contain introductory material. To view, type
'openVignette()'. To cite Bioconductor, see
'citation("Biobase" ' and for packages 'citation(pkgname)'.
##ÔØÈëCDFÎļþ¿â
> library(hgu95av2cdf)
> workingdir<-getwd()
> workingdir<-paste(workingdir,"/4R/estrogen",sep=""
> setwd(workingdir)
> targets<-readTargets("estrogen.txt",sep="",row.names="filename"
> targets
filename estrogen time.h
low10-1.cel low10-1.cel absent 10
low10-2.cel low10-2.cel absent 10
high10-1.cel high10-1.cel present 10
high10-2.cel high10-2.cel present 10
low48-1.cel low48-1.cel absent 48
low48-2.cel low48-2.cel absent 48
high48-1.cel high48-1.cel present 48
high48-2.cel high48-2.cel present 48
> ab <- ReadAffy(filenames=targets$filename)
##ʹÓÃrmaËã·¨À´Ô¤´¦ÀíÊý¾Ý
> eset <- rma(ab)
Background correcting
Normalizing
Calculating Expression
##¹¹½¨ÊµÑéÉè¼Æ¾ØÕó£¬ÕâÒ»²½·Ç³£¹Ø¼ü¡£
##Óкܶà°ì·¨¶¼¿ÉÒÔ¹¹½¨Õâ¸ö¾ØÕó¡£
##ÔÚÕâ×éʵÑéÊý¾ÝÖУ¬ÎÒÃǹØÐĵÄÊÇÔçÆÚºÍÍíÆÚϸ°û¶ÔestrogenµÄÓ¦´ð£¬
##ËùÒÔÎÒÃÇÐèÒª¹¹½¨Á½×é¶Ô±È¡£
> treatments <- factor(c(rep(1:4,each=2)),labels=c("e10","E10","e48","E48" )
> treatments
[1] e10 e10 E10 E10 e48 e48 E48 E48
Levels: e10 E10 e48 E48
> contrasts(treatments) <- cbind(Time=c(0,0,1,1),E10=c(0,1,0,0),E48=c(0,0,0,1))
> treatments
[1] e10 e10 E10 E10 e48 e48 E48 E48
attr(,"contrasts"
Time E10 E48
e10 0 0 0
E10 0 1 0
e48 1 0 0
E48 1 0 1
Levels: e10 E10 e48 E48
> design<-model.matrix(~treatments)
> design
(Intercept) treatmentsTime treatmentsE10 treatmentsE48
1 1 0 0 0
2 1 0 0 0
3 1 0 1 0
4 1 0 1 0
5 1 1 0 0
6 1 1 0 0
7 1 1 0 1
8 1 1 0 1
attr(,"assign"
[1] 0 1 1 1
attr(,"contrasts"
attr(,"contrasts" $treatments
Time E10 E48
e10 0 0 0
E10 0 1 0
e48 1 0 0
E48 1 0 1
> colnames(design) <- c("Intercept","Time","E10","E48"
> design
Intercept Time E10 E48
1 1 0 0 0
2 1 0 0 0
3 1 0 1 0
4 1 0 1 0
5 1 1 0 0
6 1 1 0 0
7 1 1 0 1
8 1 1 0 1
attr(,"assign"
[1] 0 1 1 1
attr(,"contrasts"
attr(,"contrasts" $treatments
Time E10 E48
e10 0 0 0
E10 0 1 0
e48 1 0 0
E48 1 0 1
##ÄâºÏÏßÐÔÄ£ÐÍ
> fit <- lmFit(eset, design)
> dim(fit)
[1] 12625 4
> cont.matrix <- cbind(E10=c(0,0,1,0),E48=c(0,0,0,1))
> cont.matrix
E10 E48
[1,] 0 0
[2,] 0 0
[3,] 1 0
[4,] 0 1
> fit2 <- contrasts.fit(fit,cont.matrix)
> dim(fit2)
[1] 12625 2
ÎÒµÄÎÊÌâÊÇ£ºËû×öµÄ¾ØÕóÉè¼Æ£¬ÕâÒ»²½ÎÒ²»Ì«Àí½â£¬¾ØÕóÖеÄ1ºÍ0¶¼ÊÇʲôÒâ˼£¿Ã²Ëƹ¹½¨¾ØÕóʱ¸ù¾ÝÒª±È½ÏµÄ¶ÔÏó²»Ò»Ñù¾ØÕóÊÇÓб仯µÄ£¬±¾ÀýÖйØÐĵÄÊÇÔçÆÚϸ°ûºÍÍíÆÚϸ°û¶ÔËùÌí¼ÓÎïÖʵÄÓ¦´ðÇé¿ö¡£ÎÒµÄʵÑéÊǶÔÒ°ÉúÐÍ£¨wt£©ºÍÍ»±äÌ壨hm£©·Ö±ðÓÃÎïÖÊA´¦Àí£¨ÓôóдµÄA±íʾ£©ºÍ²»´¦Àí£¨ÓÃСдµÄa±íʾ£©×öµÄоƬ£¬Èç¹û°´ÕÕÉÏÃæµÄ³ÌÐò×ßÏÂÀ´£¬Äǽá¹ûÊÇÒ°ÉúÐͺÍÍ»±äÌå¶ÔÎïÖÊAµÄÓ¦´ðÇé¿ö¡£ÎÒÓÃaffylmGUI°ü×öÁËÈý×é¶Ô±È£¬·Ö±ðÊÇawt-ahm;Awt-Ahm;awt-Ahm,ÎÒÀí½âµÄÊǵÚÒ»ÖֱȽÏÊÇÔÚ²»¼ÓÎïÖÊA´¦ÀíʱÁ½ÖÖ²ÄÁÏÖ®¼äµÄ²îÒ죬µÚ¶þÖֱȽÏÊÇÔÚÓÃÎïÖÊA´¦ÀíºóÁ½ÖÖ²ÄÁϵIJîÒ죬µÚÈýÖֱȽϵóöµÄ²îÒì»ùÒòÊÇÊܲÄÁϺÍÎïÖÊA¹²Í¬Ó°ÏìµÄ£¬²»ÖªµÀÎÒÀí½âµÄ¶Ô²»¶Ô£¬
¿ÒÇë¸ßÊÖ¸øÓè¾ØÕóÉè¼Æ·½ÃæµÄÖ¸µã¡£
ÏÂÃæ½Ó×Å˵Àý×Ó£¨½ÓÉÏÃæµÄ£©£º
##±´Ò¶Ë¹Æ½»¬
> fit2 <- eBayes(fit2)
> dim(fit2)
[1] 12625 2
##Ñ¡Ôñ²âÊÔ·½·¨£¬global»òÕßnestedF¡£
> results.global <- decideTests(fit2, method="global"
> results.nestedF<- decideTests(fit2, method="nestedF"
##È¥³ýǶÈë̽Õë
> i <- grep("AFFX",featureNames(eset))
##»ñÈ¡pÖµµÄ×ܽᣬÓÃÓÚpÖµ±³¾°È¥³ý¡£
> summary(fit2$F.p.value)
Min. 1st Qu. Median Mean 3rd Qu. Max.
0.0001391 0.1726000 0.3562000 0.4207000 0.6825000 0.9925000
> results <- classifyTestsF(fit2, p.value=0.0001)
ÎÒµÄÎÊÌâÊÇpÖµ×ܽáÖеĸ÷ÏîÓ¦¸ÃÊÇ×îС£¬ËÄ·ÖÖ®Ò»·Ö룬ÖÐλÊý£¬¾ùÖµ£¬ËÄ·ÖÖ®Èý·Ö룬×î´óÖµ£¬ÁгöÕâЩµÄÄ¿µÄÊǸÉʲôµÄ£¬ÒâÒåºÎÔÚ£¬»¹ÓоÍÊÇ> results <- classifyTestsF(fit2, p.value=0.0001)ÖеÄp.value=0.0001ÊÇ´ú±íÉ趨µÄpÖµµÄ½çÏÞÂð£¿
½Ó×ÅÉÏÃæµÄÀý×Ó¼ÌÐø£º
##»ñÈ¡²îÒì±í´ï»ùÒòµÄ×ܽá
> summary(results) # ÎÊÌâÊÇÕâ¸ö±í¸ñ¿´²»Ì«¶®£¿
E10 E48
-1 40 76
0 12469 12410
1 116 139
> table(E10=results[,1],E48=results[,2]) #±í¸ñ¿´²»Ì«¶®£¿
E48
E10 -1 0 1
-1 29 11 0
0 47 12370 52
1 0 29 87
##»æÖÆÎÄÊÏͼ
> vennDiagram(results, include="up"
> x11()
> vennDiagram(results, include="down"
##Éú³É²îÒì±í´ï»ùÒòµÄ½á¹û±¨±í
> options(digits=3) £¿£¿£¿£¿digits=3ÊÇʲôÒâ˼£¿
> topTable(fit2,coef="E10",n=20) £¿£¿£¿£¿²»Àí½âcoef=E10ÊÇʲôÒâ˼£¬ÊÇ´ú±íµÃµ½µÄ²îÒì»ùÒòÊÇe10ºÍE10µÄ±È½ÏÂð£¿
ID logFC AveExpr t P.Value adj.P.Val B
9735 39642_at 2.94 7.88 23.7 4.74e-09 3.13e-05 9.97
12472 910_at 3.11 9.66 23.6 4.96e-09 3.13e-05 9.94
1814 31798_at 2.80 12.12 16.4 1.03e-07 3.51e-04 7.98
11509 41400_at 2.38 10.04 16.2 1.11e-07 3.51e-04 7.92
10214 40117_at 2.56 9.68 15.7 1.47e-07 3.58e-04 7.71
953 1854_at 2.51 8.53 15.2 1.95e-07 3.58e-04 7.49
9848 39755_at 1.68 12.13 15.1 2.05e-07 3.58e-04 7.45
922 1824_s_at 1.91 9.24 14.9 2.27e-07 3.58e-04 7.37
140 1126_s_at 1.78 6.88 13.8 4.12e-07 5.78e-04 6.89
580 1536_at 2.66 5.94 13.3 5.80e-07 7.32e-04 6.61
12542 981_at 1.82 7.78 13.1 6.46e-07 7.42e-04 6.52
3283 33252_at 1.74 8.00 12.6 8.86e-07 9.20e-04 6.25
546 1505_at 2.40 8.76 12.5 9.48e-07 9.20e-04 6.19
4405 34363_at -1.75 5.55 -12.2 1.14e-06 1.03e-03 6.03
985 1884_s_at 2.80 9.03 12.1 1.26e-06 1.06e-03 5.95
6194 36134_at 2.49 8.28 11.8 1.50e-06 1.19e-03 5.79
7557 37485_at 1.61 6.67 11.4 1.99e-06 1.48e-03 5.55
1244 239_at 1.57 11.25 10.4 4.07e-06 2.66e-03 4.90
8195 38116_at 2.32 9.51 10.4 4.09e-06 2.66e-03 4.90
10634 40533_at 1.26 8.47 10.4 4.21e-06 2.66e-03 4.87
> topTable(fit2,coef="E48",n=20) £¿£¿£¿ÕâÀïµÄcoef=E48ÊÇ´ú±íµÃµ½µÄ²îÒì»ùÒòÊÇe48ºÍE48±È½ÏµÄ½á¹ûÂð£¿
ID logFC AveExpr t P.Value adj.P.Val B
12472 910_at 3.86 9.66 29.2 8.27e-10 1.04e-05 11.61
1814 31798_at 3.60 12.12 21.0 1.28e-08 7.63e-05 9.89
953 1854_at 3.34 8.53 20.2 1.81e-08 7.63e-05 9.64
8195 38116_at 3.76 9.51 16.9 8.12e-08 2.51e-04 8.48
8143 38065_at 2.99 9.10 16.2 1.12e-07 2.51e-04 8.21
9848 39755_at 1.77 12.13 15.8 1.36e-07 2.51e-04 8.05
642 1592_at 2.30 8.31 15.8 1.39e-07 2.51e-04 8.03
11509 41400_at 2.24 10.04 15.3 1.81e-07 2.75e-04 7.81
366 33730_at -2.04 8.57 -15.1 1.96e-07 2.75e-04 7.74
732 1651_at 2.97 10.50 14.8 2.39e-07 3.02e-04 7.57
8495 38414_at 2.02 9.46 14.6 2.66e-07 3.05e-04 7.48
1049 1943_at 2.19 7.60 14.0 3.72e-07 3.69e-04 7.18
10214 40117_at 2.28 9.68 14.0 3.80e-07 3.69e-04 7.17
10634 40533_at 1.64 8.47 13.5 4.94e-07 4.45e-04 6.93
9735 39642_at 1.61 7.88 13.0 6.71e-07 5.18e-04 6.65
4898 34851_at 1.96 9.96 12.8 7.51e-07 5.18e-04 6.55
922 1824_s_at 1.64 9.24 12.8 7.95e-07 5.18e-04 6.50
6053 35995_at 2.76 8.87 12.7 8.32e-07 5.18e-04 6.46
12455 893_at 1.54 10.95 12.7 8.43e-07 5.18e-04 6.45
10175 40079_at -2.41 8.23 -12.6 8.62e-07 5.18e-04 6.42
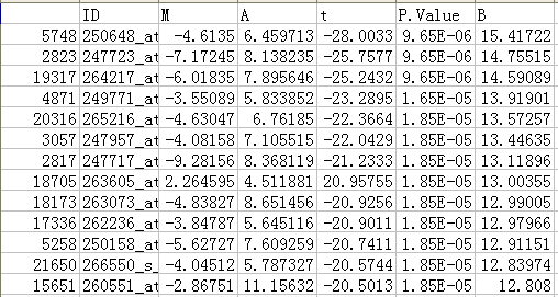
ÎÒÓÃÉÏÃæµÄ³ÌÐò·ÖÎöÁËÎÒµÄÊý¾Ý£¬Ò²ÓÃaffylmGUI·ÖÎöÁËÎÒµÄÊý¾Ý£¬¼ûÏÂͼ
ͼÖеĵÚÒ»ÐеÄM ºÍA ·Ö±ð´ú±íʲô£¬ÎÒÀí½âM´ø±í±¶Êý±ä»¯£¿×îºóµÄB´ú±íʲô£¬ÊDZ´Ò¶Ë¹µÄʲôÂð£¿
ÁíÍâÓÃaffylmGUI°ü·ÖÎöʱ£¬P-valueµÄÖµÔõôÉ趨£¬»òÕß˵Ôõô֪µÀĬÈϵÄalfaÖµÊÇ0.05»¹ÊÇ0.01
ÎÒ×Ô¼ºÍ³¼Æ·½ÃæÖªÊ¶±¡Èõ£¬Ò²²»¶®±à³Ì£¬»¹Íûǰ±²ÃÇÖ¸µ¼Ö¸µ¼¡£²»Ê¤¸Ð¼¤¡£
![]()
[ Last edited by xpb2005 on 2012-7-22 at 11:23 ] |
|