| ²é¿´: 988 | »Ø¸´: 3 | ||
pendaxin½ð³æ (СÓÐÃûÆø)
|
[ÇóÖú]
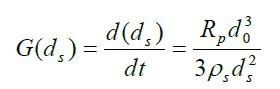
ÇóÖ¤¿ÅÁ£Ôö³¤ËÙÂÊÓë·´Ó¦ËÙÂʵĹØÏµ
|
|
|
|
||
105207759aÒø³æ (СÓÐÃûÆø)
|
¡¾´ð°¸¡¿Ó¦Öú»ØÌû
¡ï ¡ï ¡ï
¸Ðл²ÎÓ룬ӦÖúÖ¸Êý +1 xiegangmai: ½ð±Ò+3, ллӦÖú£¡ 2012-07-20 00:22:35
» ±¾ÌûÒÑ»ñµÃµÄºì»¨£¨×îÐÂ10¶ä£© |
|
![]() |
||
|
2Â¥2012-07-19 21:54:00
|
|
|
pendaxin½ð³æ (СÓÐÃûÆø)
|
||
|
3Â¥2012-07-20 09:03:38
|
|
|
105207759aÒø³æ (СÓÐÃûÆø)
|
¡¾´ð°¸¡¿Ó¦Öú»ØÌû
¡ï ¡ï ¡ï
xiegangmai: ½ð±Ò+3, ллӦÖú£¡ 2012-07-21 00:25:17
|
|
![]() |
||
|
4Â¥2012-07-20 10:03:58
|
|














»Ø¸´´ËÂ¥
pendaxin