| ²é¿´: 2829 | »Ø¸´: 14 | |||
scu98wwc½ð³æ (СÓÐÃûÆø)
|
[½»Á÷]
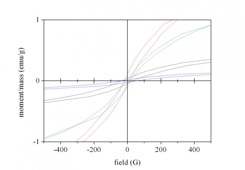
´ó¼Ò°ïæ¿´¿´ÎҵIJÄÁÏÊÇ·ñ¾ßÓг¬Ë³´ÅÐÔ£¬Ð»Ð» ÒÑÓÐ13È˲ÎÓë
|
||
ÎÄÏ× |
» ²ÂÄãϲ»¶
ÎÂÖÝ´óѧÍõ¾ê¿ÎÌâ×é2026ÄêÕÐÉú
ÒѾÓÐ10È˻ظ´
ÎÂÖÝ´óѧ2026ÄêÕÐÉú£¨»¯Ñ§¡¢²ÄÁÏ£©
ÒѾÓÐ10È˻ظ´
½ðÊô²ÄÁÏÂÛÎÄÈóÉ«/·ÒëÔõôÊÕ·Ñ?
ÒѾÓÐ96È˻ظ´
ÕÐÉú¸ºÔð_ԺʿÍŶÓ_ѧÉú¸ß×ÔÓɶȳɳ¤_Éó¤Ñ§ÉúÅàÑø
ÒѾÓÐ5È˻ظ´
ÎÂÖÝ´óѧÕÐÊÕ2026ÄêÈëѧ²©Ê¿Ñо¿Éú£¨»¯Ñ§¡¢²ÄÁÏ¡¢»·¾³£©
ÒѾÓÐ10È˻ظ´
·Ç¾§ºÏ½ð
ÒѾÓÐ2È˻ظ´
ԺʿÍŶÓ-ÿ½ìѧÉú¶¼ÓÅÐã-¸ß×ÔÓɶÈ-ÍŶӷÕΧºÃ
ÒѾÓÐ0È˻ظ´
Çóµ÷¼Á
ÒѾÓÐ3È˻ظ´
»¯¹¤Ñ§Ôº£¨Ñ§ÔºÕýʽµ÷¼ÁȺ+ÁªÏµ·½Ê½£©
ÒѾÓÐ0È˻ظ´
»¯¹¤Ñ§Ôº£¨Ñ§Ôº¹Ù·½Èº£©-ԺʿÍŶÓÕÐÉú-ѧÉú×ÔÓɶȸß-ÅàÑøÄ£Ê½³ÉÊì¸ßЧ
ÒѾÓÐ0È˻ظ´
ºÚÁú½´óѧ·ÖÎö»¯Ñ§Õе÷¼Á
ÒѾÓÐ0È˻ظ´
» ±¾Ö÷ÌâÏà¹ØÉ̼ÒÍÆ¼ö: (ÎÒÒ²ÒªÔÚÕâÀïÍÆ¹ã)
» ±¾Ö÷ÌâÏà¹Ø¼ÛÖµÌùÍÆ¼ö£¬¶ÔÄúͬÑùÓаïÖú:
Çë½Ì´ó¼Ò£º´ÅÖÍ»ØÏß³öÏǪ̈½×ÊÇʲôÔÒòÄØ£¿Ð»Ð»~~~
ÒѾÓÐ7È˻ظ´
°ïæ¿´¿´ÄÜ·ñÅжÏÊÇ·ñ¾ßÓг¬Ë³´ÅÐÔ
ÒѾÓÐ8È˻ظ´
ÇëÎÊVSM´ÅÖÍ»ØÏߵij¬Ë³´ÅÐÔÎÊÌ⣿¸ßÊÖ°ï°ïæ½â´ð¡¤¡¤¡¤¡¤
ÒѾÓÐ15È˻ظ´
Ê®Íò»ð¼±£¡£¡£¡ÔÚ³¬Ë³´ÅÐÔFe3O4ÉϸºÔØÄÉÃ×½ðµÄ·½·¨ÓÐÄÄЩ£¿
ÒѾÓÐ23È˻ظ´
ÇëÎÊ̬ÃܶÈÊÇÕâ¸öÑù×Ó£¬ÓдÅÐÔÂð£¿Ð»Ð»
ÒѾÓÐ14È˻ظ´
ÆÁ±ÎÎü²¨²ÄÁÏÓë´ÅÐÔ²ÄÁÏ£¬ÄĸöÓÐǰ;£¿Ð»Ð»
ÒѾÓÐ4È˻ظ´
¡¾Çë½Ì¡¿³¬Ë³´Å²ÄÁϵı¥ºÍ´Å»¯Ç¿¶ÈÓëʲôÓйØ
ÒѾÓÐ15È˻ظ´
×î½üдÎÄÕ£¬Óöµ½Ò»¸öÃû´Ê£¬²»»á·Òë¡£³¬Ë³´ÅÐԵĽØÖ¹Î¶ÈTB·Òë³ÉÓ¢ÎÄÊÇʲô£¿
ÒѾÓÐ6È˻ظ´
¡¾ÇóÖú¡¿ÇëÎÊÔõÑù´Ó´ÅÖÍ»ØÏßÅжϳ¬Ë³´ÅÐÔ£¿
ÒѾÓÐ6È˻ظ´
¡¾Çë½Ì¡¿³¬Ë³´ÅÄÉÃ×Á£×ӵĴÅÐÔ
ÒѾÓÐ3È˻ظ´
¡¾Çë½Ì¡¿³¬Ë³´ÅÐÔFe3O4ÊÇ·ñ¿ÉÒÔ±»´ÅÌúÎüÒý
ÒѾÓÐ28È˻ظ´
¡¾Çë½Ì¡¿×ö´ÅÐÔ²ÄÁϵÄÂé·³°ïæ¿´ÏÂÕâ¸öͼ
ÒѾÓÐ42È˻ظ´
wbcui
ÖÁ×ðľ³æ (ÖªÃû×÷¼Ò)
- Ó¦Öú: 221 (´óѧÉú)
- ¹ó±ö: 0.349
- ½ð±Ò: 16296.6
- É¢½ð: 359
- ºì»¨: 73
- Ìû×Ó: 8321
- ÔÚÏß: 919Сʱ
- ³æºÅ: 543804
- ×¢²á: 2008-04-11
- רҵ: ½ðÊô¹¦ÄܲÄÁÏ
¡ï
Сľ³æ: ½ð±Ò+0.5, ¸ø¸öºì°ü£¬Ð»Ð»»ØÌû
Сľ³æ: ½ð±Ò+0.5, ¸ø¸öºì°ü£¬Ð»Ð»»ØÌû
|
¿´ÁËÒ»ÏÂÉÏÃæ¼¸Â¥µÄ½â£¬¶¼ÓÐÎÊÌâ 1. ´Å³¡µ¥Î»£º¹ú¼Êµ¥Î»ÖÆ£¨SI£©ÖУ¬ÊÇA/m£»³£Óõĸß˹µ¥Î»ÖÆÖУ¬ÊÇOe¡£G£¨¸ß˹£©ÊǸß˹µ¥Î»ÖÆÖдŻ¯Ç¿¶ÈµÄµ¥Î»¡£ËùÒÔ£¬Â¥Ö÷µÄxÖᵥλ±ê´íÁË¡£ 2. ´ËËÄÌõÇúÏß±íʾµÄ¶¼²»Êdz¬Ë³´Å¡£ ³¬Ë³´Åʵ¼ÊÉÏÊÇÔÚblocking temperatureÒÔÉϱíÏÖΪ˳´ÅÐÔ£¨µ«²»ÊÇ˳´ÅÐÔ£©£¬Ö®Ï±íÏÖΪÌú´ÅÐÔ¡£´ÓÄãµÄloopÀ´¿´£¬ÓнÃÍçÁ¦£¬¿Ï¶¨²»Êdz¬Ë³´ÅÁË£¬ÒòΪÔÚ³¯Ë³´Å̬£¬²»»áÓнÃÍçÁ¦µÄ¡£ ½¨ÒéÂ¥Ö÷ºÃºÃѧϰ¡¶Ìú´Åѧ¡·£¬Õâ²ÅÄÜÉîÈëÁ˽â´ÅÐԵĻù±¾ÔÀí¡£ |
13Â¥2012-07-21 00:06:02
scu98wwc
½ð³æ (СÓÐÃûÆø)
- Ó¦Öú: 2 (Ó×¶ùÔ°)
- ½ð±Ò: 457.3
- É¢½ð: 841
- ºì»¨: 3
- Ìû×Ó: 297
- ÔÚÏß: 120.1Сʱ
- ³æºÅ: 559604
- ×¢²á: 2008-05-17
- רҵ: Óлú¸ß·Ö×Ó¹¦ÄܲÄÁÏ
2Â¥2012-07-18 10:04:10
soleilmoi
ľ³æ (СÓÐÃûÆø)
- Ó¦Öú: 3 (Ó×¶ùÔ°)
- ½ð±Ò: 2210
- Ìû×Ó: 72
- ÔÚÏß: 45.6Сʱ
- ³æºÅ: 555449
- ×¢²á: 2008-05-09
- רҵ: ½ºÌåÓë½çÃæ»¯Ñ§
3Â¥2012-07-18 11:59:48
°¢Ä¾100
ľ³æ (ÕýʽдÊÖ)
- Ó¦Öú: 11 (СѧÉú)
- ½ð±Ò: 2354.7
- É¢½ð: 742
- ºì»¨: 6
- Ìû×Ó: 344
- ÔÚÏß: 1318.4Сʱ
- ³æºÅ: 1324020
- ×¢²á: 2011-06-15
- ÐÔ±ð: GG
- רҵ: ÎÞ»ú²ÄÁÏ»¯Ñ§
4Â¥2012-07-18 20:52:09
wuyunque
Ìú³æ (СÓÐÃûÆø)
- Ó¦Öú: 2 (Ó×¶ùÔ°)
- ½ð±Ò: 120.5
- ɳ·¢: 1
- Ìû×Ó: 61
- ÔÚÏß: 67.7Сʱ
- ³æºÅ: 1387777
- ×¢²á: 2011-09-02
- רҵ: Ö²Îïѧ
5Â¥2012-07-18 21:21:06
ckm840529
Ìú¸Ëľ³æ (ÖøÃûдÊÖ)
I love science!
- MN-EPI: 2
- Ó¦Öú: 38 (СѧÉú)
- ¹ó±ö: 0.14
- ½ð±Ò: 9707.3
- É¢½ð: 275
- ºì»¨: 13
- Ìû×Ó: 1828
- ÔÚÏß: 413Сʱ
- ³æºÅ: 231086
- ×¢²á: 2006-03-27
- ÐÔ±ð: GG
- רҵ: ¹¦ÄÜÓëÖÇÄܸ߷Ö×Ó

6Â¥2012-07-18 23:37:46
smallqiang7
ľ³æ (ÕýʽдÊÖ)
- Ó¦Öú: 3 (Ó×¶ùÔ°)
- ½ð±Ò: 3088.8
- É¢½ð: 63
- ºì»¨: 2
- Ìû×Ó: 349
- ÔÚÏß: 73.6Сʱ
- ³æºÅ: 1699317
- ×¢²á: 2012-03-18
- רҵ: ²ÄÁÏÒ±½ð¹ý³Ì¹¤³Ì
7Â¥2012-07-19 08:43:51
sciencemaji
ÖÁ×ðľ³æ (ÎÄ̳¾«Ó¢)
- Ó¦Öú: 231 (´óѧÉú)
- ½ð±Ò: 21400.6
- É¢½ð: 1168
- ºì»¨: 60
- ɳ·¢: 1208
- Ìû×Ó: 17913
- ÔÚÏß: 1542Сʱ
- ³æºÅ: 874127
- ×¢²á: 2009-10-16
- ÐÔ±ð: GG
- רҵ: ÀÏÄêҽѧ
8Â¥2012-07-19 11:18:38
dk1013
ľ³æ (ÕýʽдÊÖ)
- Ó¦Öú: 61 (³õÖÐÉú)
- ½ð±Ò: 4285.5
- É¢½ð: 246
- ºì»¨: 13
- Ìû×Ó: 988
- ÔÚÏß: 3204.6Сʱ
- ³æºÅ: 980198
- ×¢²á: 2010-03-23
- ÐÔ±ð: GG
- רҵ: Äý¾Û̬ÎïÐÔ II £ºµç×ӽṹ

9Â¥2012-07-19 11:25:13
nanoflfq
½ð³æ (ÕýʽдÊÖ)
- Ó¦Öú: 3 (Ó×¶ùÔ°)
- ½ð±Ò: 619.9
- É¢½ð: 23
- ºì»¨: 1
- Ìû×Ó: 344
- ÔÚÏß: 765.5Сʱ
- ³æºÅ: 586629
- ×¢²á: 2008-08-15
- ÐÔ±ð: GG
- רҵ: ÎÞ»úÄÉÃ×»¯Ñ§
10Â¥2012-07-19 18:32:25













»Ø¸´´ËÂ¥
