24小时热门版块排行榜    

查看: 1043  |  回复: 10

opanane

木虫 (小有名气)

【答案】应助回帖


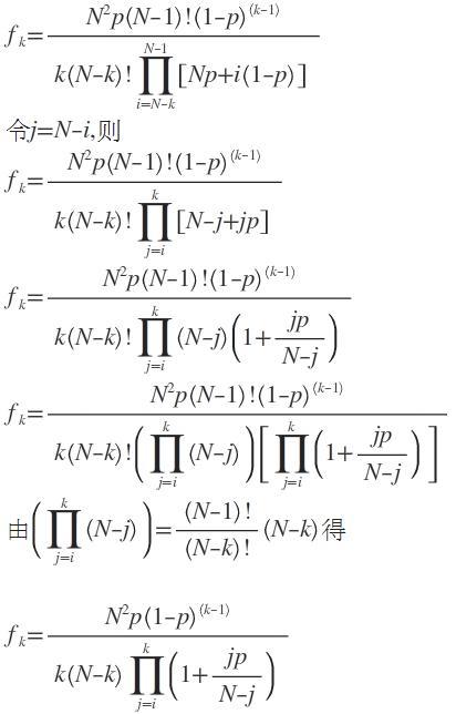
这样的话就没有了阶乘,再去计算就应该没有问题了。
看样子像是概率题……
11楼2012-07-20 09:14:52
已阅   回复此楼   关注TA 给TA发消息 送TA红花 TA的回帖
相关版块跳转 我要订阅楼主 wr0124 的主题更新
最具人气热帖推荐 [查看全部] 作者 回/看 最后发表
[考研] 0703化学调剂 290分有科研经历,论文在投 +3 腻腻gk 2026-03-14 3/150 2026-03-15 17:28 by 小物理化学
[考研] 289求调剂 +5 步川酷紫123 2026-03-11 5/250 2026-03-15 00:45 by kruisytel
[考研] 080500,材料学硕302分求调剂学校 +4 初识可乐 2026-03-14 5/250 2026-03-14 21:08 by peike
[考研] 267一志愿南京工业大学0817化工求调剂 +5 SUICHILD 2026-03-12 5/250 2026-03-14 14:53 by jean5056
[考研] 【0703化学调剂】-一志愿华中师范大学-六级475 +5 Becho359 2026-03-11 5/250 2026-03-14 11:35 by 哦哦123
[考研] 301求调剂 +3 归零lbm 2026-03-09 3/150 2026-03-14 02:20 by JourneyLucky
[考研] 332分材料工程调剂 +3 莓好时光海苔 2026-03-09 3/150 2026-03-14 02:03 by JourneyLucky
[考研] 一志愿天津大学,英一数二305分求调剂,四六级已过 +8 小小番的茄 2026-03-09 8/400 2026-03-14 01:53 by JourneyLucky
[考研] 306求调剂 +4 唐薏薏 2026-03-09 4/200 2026-03-14 01:19 by JourneyLucky
[考研] 0703求调剂 +7 jtyq001 2026-03-10 7/350 2026-03-14 01:06 by JourneyLucky
[考研] 0856材料与化工309分求调剂 +6 ZyZy…… 2026-03-10 6/300 2026-03-14 00:38 by JourneyLucky
[考研] 279求调剂 +3 抓着星星的女孩 2026-03-10 3/150 2026-03-13 23:47 by userper
[考研] 333求调剂 +3 球球古力 2026-03-11 3/150 2026-03-13 21:27 by JourneyLucky
[考研] 315求调剂 +9 小羊小羊_ 2026-03-11 10/500 2026-03-13 21:13 by SXNU李老师
[考研] 考研调剂 +4 芬达46 2026-03-12 4/200 2026-03-13 16:04 by ruiyingmiao
[考研] 一志愿211化学学硕310分求调剂 +8 努力奋斗112 2026-03-12 9/450 2026-03-13 15:41 by JourneyLucky
[考研] 290求调剂 +7 ADT 2026-03-12 7/350 2026-03-13 15:17 by JourneyLucky
[考研] 285求调剂 +4 ytter 2026-03-12 4/200 2026-03-13 14:48 by jxchenghu
[考研] 290求调剂 +3 ADT 2026-03-13 3/150 2026-03-13 10:19 by peike
[考研] 化工0817调剂 +8 灿若星晨 2026-03-10 8/400 2026-03-10 22:44 by 星空星月
信息提示
请填处理意见